Decreto 23/2026, de 9 de marzo, por el que se regula la inscripción y funcionamiento del Registro Público de Demandantes de Vivienda Protegida de Canarias, así como el régimen de adjudicación de viviendas protegidas de promoción pública y sus anejos no vinculados.
Vigente desde 07/04/2026 | BOC 53/2026 de 18 de Marzo de 2026
Este decreto regula de forma integral la inscripción y funcionamiento del Registro Público de Demandantes de Vivienda Protegida de Canarias y fija un nuevo marco de adjudicación para las viviendas protegidas de promoción pública (régimen especial y general), incluyendo también la adjudicación de garajes y otros anejos no vinculados propiedad del Instituto Canario de la Vivienda (ICAVI). El objetivo declarado es modernizar y simplificar la gestión del registro y sustituir el modelo anterior, incorporando como sistema ordinario la baremación (y la adjudicación directa cuando proceda).
Qué cambia y cómo impacta en ayuntamientos y cabildos:
1) Registro de demandantes: un registro único, pero con cooperación municipal e insular.
El Registro es único, público, administrativo y gratuito, y queda adscrito al ICAVI, que asume su gestión. No obstante, el decreto prevé que el ICAVI pueda suscribir convenios tipo con ayuntamientos y cabildos para colaborar en la gestión y llevanza del Registro.
2) Adjudicación de vivienda pública: baremación como regla y publicación también en sedes municipales. En las primeras adjudicaciones, la norma establece:
- baremación cuando la demanda supere a la oferta;
- adjudicación directa cuando haya viviendas suficientes para los solicitantes.
El inicio del procedimiento se formaliza mediante resolución del ICAVI que debe publicarse, entre otros lugares, en el BOC y en el tablón de anuncios de la sede electrónica del ayuntamiento donde se ubique la promoción, reforzando el canal local de difusión de las convocatorias.
3) Cupos especiales: mínimos y máximos y reasignación de vacantes
En cada promoción se configura un cupo general y cupos especiales (por ejemplo, movilidad/comunicación, jóvenes hasta 35, mayores de 65, víctimas de violencia de género, emigrantes retornados), con reglas de porcentajes mínimos/máximos y con previsión de que las viviendas vacantes de cupos especiales pasen, por regla general, al cupo general.
4) Viviendas vacantes: puerta a propuestas municipales por extrema urgencia
En segundas y posteriores adjudicaciones, si existen situaciones de extrema y urgente necesidad, el decreto habilita la adjudicación directa de viviendas vacantes que puede efectuarse a iniciativa del ayuntamiento donde esté la vivienda, aportando un informe motivado que acredite la necesidad y justifique la propuesta. En todo caso, la propuesta municipal no es vinculante para el ICAVI, que verifica requisitos y resuelve.
Además, si no hay situaciones urgentes en el municipio de la vivienda vacante, el ICAVI puede proponer la adjudicación a demandantes de otros municipios, priorizando los limítrofes dentro de la misma isla.
5) Municipios pequeños: mecanismo para adjudicar excedentes en promociones con baja demanda
En promociones ubicadas en municipios de hasta 20.000 habitantes, si tras una adjudicación directa quedan viviendas excedentes, se prevé un procedimiento para adjudicarlas mediante baremación entre demandantes de municipios limítrofes que también tengan hasta 20.000 habitantes, flexibilizando el requisito de estar empadronado o trabajar en el municipio de la promoción.
6) Soluciones habitacionales temporales y cómputo de residencia municipal
El decreto contempla que la existencia de una solución habitacional temporal (por programas públicos) puede influir en el cumplimiento del requisito de residencia o trabajo en el municipio.
7) Juntas administradoras: gestión del parque público con participación vecinal y relación con el ICAVI. Para administración y conservación de viviendas públicas, el ICAVI puede optar por:
- contratar a un administrador de fincas colegiado, o bien,
- organizar a los adjudicatarios en juntas administradoras.
Estas juntas deben notificar convocatorias y actas al ICAVI, que puede asistir con voz y sin voto, y se crea un Registro de Juntas Administradoras con datos identificativos.
8) Registro de Viviendas Protegidas: también con cooperación local como inventario e instrumento de control y conexión oferta-demanda, adscrito al ICAVI, con posibilidad de convenios con ayuntamientos y cabildos para colaborar en su gestión con obligación de inscribirlos en plazo mediante medios electrónicos.
9) Inscripción obligatoria en el Registro para optar a vivienda protegida (pública y también privada) y para alojamientos con espacios comunes complementarios. Se detallan los requisitos (residencia, ingresos, patrimonio, necesidad de vivienda) y de adecuación de la vivienda al tamaño del hogar.
Garajes y anejos no vinculados: procedimiento específico
10) Régimen transitorio. Se mantiene la tramitación de solicitudes de inscripción presentadas al amparo de la Orden de 24 de septiembre de 2009, y la vigencia de inscripciones existentes durante su periodo.
Los procedimientos iniciados antes de la entrada en vigor continúan rigiéndose por el Decreto 138/2007.
Vigencia desde: 07-04-2026
La Constitución Española de 1978, en su artículo 47, reconoce el derecho de la ciudadanía a una vivienda digna y adecuada, encomendando a los poderes públicos la promoción de las condiciones necesarias y el desarrollo de políticas que garanticen su efectividad.
En el ámbito autonómico, el Estatuto de Autonomía de Canarias, en su artículo 22, consagra el derecho de acceso a la vivienda y dispone que los poderes públicos garantizarán su efectividad, regulando la función social de la vivienda y promoviendo el uso racional del suelo. Por su parte, el artículo 143 atribuye a la Comunidad Autónoma de Canarias la competencia exclusiva en materia de vivienda, que comprende la planificación, ordenación, gestión, promoción pública, fomento, inspección, control de calidad, sanción y demás actuaciones relacionadas, así como la regulación de la función social y habitacional de la vivienda y de las condiciones de accesibilidad, eficiencia energética e innovación tecnológica.
Asimismo, el artículo 106.1.c) del Estatuto de Autonomía faculta a la Comunidad Autónoma para aprobar las normas de procedimiento administrativo que deriven de las particularidades del derecho sustantivo de Canarias, lo que habilita la aprobación del presente Decreto en cuanto desarrolla procedimientos específicos en materia de adjudicación de viviendas protegidas de promoción pública y de gestión del Registro Público de Demandantes de Vivienda Protegida de Canarias adaptados a la realidad y necesidades del territorio canario.
La Ley 2/2003, de 30 de enero, de Vivienda de Canarias, distribuye estas competencias entre las distintas Administraciones Públicas y crea el Instituto Canario de la Vivienda como organismo autónomo encargado de la gestión de las competencias ejecutivas que, en la materia, corresponden a la Administración de la Comunidad Autónoma de Canarias.
La Ley 12/2023, de 24 de mayo, por el derecho a la vivienda, reconoce en su artículo 8, como uno de los derechos de la ciudadanía, el de solicitar su inscripción en los registros de demandantes de vivienda protegida en función de la situación social, económica y personal de cada solicitante.
La citada Ley de Vivienda de Canarias regula la adjudicación de viviendas protegidas de promoción pública, estableciendo en su artículo 42 la obligación de dictar un procedimiento reglado para ello. Asimismo, el artículo 47 determina los principios que han de regir dicha adjudicación, incluyendo la inscripción en el Registro Público de Demandantes de Vivienda Protegida de Canarias como requisito obligatorio. La actual regulación de este Registro, creado en virtud del artículo 15 del Decreto 27/2006, de 7 de marzo, se encuentra recogida en la Orden de 24 de septiembre de 2009, de la extinta Consejería de Bienestar Social, Juventud y Vivienda (BOC n.º 198, de 18.10.2009).
Los cambios normativos introducidos en los últimos años, especialmente con la entrada en vigor de la Ley 39/2015, de 1 de octubre, del Procedimiento Administrativo Común de las Administraciones Públicas, y de la Ley 40/2015, de 1 de octubre, de Régimen Jurídico del Sector Público, junto con la experiencia acumulada en la gestión del procedimiento de inscripción en el citado Registro, justifican la adopción de medidas orientadas a su simplificación, modernización y agilización, eliminando cargas administrativas innecesarias.
El Decreto 138/2007, de 24 de mayo, por el que se establece el régimen de adjudicación de las viviendas protegidas de promoción pública de titularidad del Instituto Canario de la Vivienda, regula dicha adjudicación mediante sorteo cuando la demanda supera la oferta. No obstante, la Ley 3/2016, de 29 de diciembre, de Presupuestos Generales de la Comunidad Autónoma de Canarias para 2017, eliminó el sorteo como sistema preferente, permitiendo la utilización de otros criterios de adjudicación, como la baremación, para garantizar el acceso prioritario a quienes se encuentren en situación de especial vulnerabilidad. Pese a ello, hasta la fecha de aprobación del presente Decreto, no se ha desarrollado un procedimiento reglamentario que regule la baremación.
Posteriormente, el Decreto ley 24/2020, de 23 de diciembre, de medidas extraordinarias y urgentes en los ámbitos de vivienda, transportes y puertos de titularidad de la Comunidad Autónoma de Canarias, derogó el Decreto 138/2007, si bien pospuso su efectividad hasta la aprobación de una nueva regulación.
Tanto la Ley territorial de vivienda de Canarias como la Ley por el derecho a la vivienda establecen criterios para priorizar el acceso a las viviendas públicas. En particular, el artículo 29 de la norma estatal dispone que el parque público de vivienda debe garantizar el acceso a personas y hogares con mayores dificultades, aplicando criterios de vulnerabilidad como la presencia de menores o factores socioeconómicos.
A la vista de todo ello, resulta necesario regular un nuevo sistema de adjudicación de viviendas protegidas de promoción pública que permita seleccionar, en cada caso, el método más adecuado para garantizar los principios de justicia, equidad y solidaridad, priorizando a las familias y unidades de convivencia más necesitadas, de conformidad con el ya citado artículo 47 de la Ley 2/2003, de 30 de enero.
Además, en diversos grupos de viviendas protegidas de promoción pública permanecen sin adjudicar plazas de garaje y otros anejos no vinculados registralmente a las viviendas. Al no estar previsto un procedimiento específico en el derogado Decreto 138/2007, se hace imprescindible establecer ahora un marco regulador para su adjudicación, dotando al Instituto Canario de la Vivienda de herramientas jurídicas flexibles que permitan elegir el negocio jurídico más adecuado en cada caso, con plena sujeción al interés público.
Asimismo, el Real Decreto 853/2021, de 5 de octubre, por el que se regulan los programas de ayuda en materia de rehabilitación residencial y vivienda social del Plan de Recuperación, Transformación y Resiliencia, ha impulsado la ampliación del parque público de viviendas en alquiler asequible mediante la promoción de nuevas construcciones y la rehabilitación de edificios, lo que exige una regulación para su adjudicación.
Si bien resulta esencial regular las condiciones que permitan acceder a una vivienda a quienes presentan mayores dificultades de integración residencial, no lo es menos preservar el parque público de viviendas como recurso limitado, a fin de garantizar su uso continuado, seguro y adecuado. En este marco, el presente Decreto no se limita a establecer el procedimiento de adjudicación, sino que incorpora asimismo el régimen general de obligaciones que deben asumir las personas adjudicatarias de viviendas de promoción pública, con el fin de asegurar una gestión responsable y sostenible del patrimonio público.
En el contexto de la evolución normativa reciente en materia de vivienda, cabe destacar el Decreto ley 1/2024, de 19 de febrero, de medidas urgentes en materia de vivienda, que incorpora importantes novedades con incidencia directa en los procedimientos de adjudicación de viviendas. Entre ellas se incluyen:
a) La habilitación de los cabildos insulares como promotores de vivienda protegida, por lo que este Decreto les atribuye la adjudicación de sus viviendas, salvo que se acuerde expresamente que la misma sea realizada por la Administración autonómica.
b) La modificación del límite máximo de la renta arrendaticia en función de los ingresos de la unidad familiar o de convivencia establecido en el artículo 48.4 de la Ley 2/2003, de 30 de enero, de Vivienda de Canarias, para viviendas de promoción pública adjudicadas en régimen especial, pasando del 12 al 20% de los ingresos, y la modificación también del sistema para determinar los precios máximos de referencia de las viviendas protegidas establecidos en el Decreto ley 24/2020, de 23 de diciembre. Ello exige la modificación del Decreto 1/2004, de 13 de enero, por el que se establece el precio máximo de venta y la renta máxima inicial anual de las viviendas protegidas de promoción pública. Además, esta modificación permite adaptar la renta arrendaticia a la capacidad económica de las unidades familiares de forma más flexible, integrando medidas previamente recogidas en el Decreto 32/2020, de 2 de abril, por el que se regula la ayuda a los alquileres de las viviendas protegidas adjudicadas por la Administración Pública de la Comunidad Autónoma de Canarias en régimen de alquiler. El Decreto 32/2020, de 2 de abril, contiene un régimen especial regulado en sus disposiciones Adicionales Primera y Segunda, que opera sobre unidades familiares de muy limitados recursos pero presumiblemente constantes en el tiempo, y lo que hace la presente norma es extender a toda la promoción pública los aspectos sustanciales de dicho régimen, previendo, incluso, empeoramientos sobrevenidos de las aludidas condiciones y circunstancias. Al integrar tales medidas en el presente Decreto, procede derogar el Decreto 32/2020, de 2 de abril.
c) La incorporación de los alojamientos con espacios comunes complementarios en virtud de la disposición Adicional vigésima Segunda de la Ley 2/2003, de 30 de enero, con el mandato de establecer reglamentariamente los requisitos de acceso a esta modalidad habitacional.
Asimismo, en aras del interés público, se adoptan medidas para propiciar la continuación de los alquileres sociales de las viviendas protegidas adjudicadas por la Administración Pública de la Comunidad Autónoma de Canarias en régimen de alquiler, cuando las mismas pertenezcan a promotores distintos al Instituto Canario de la Vivienda y se haya superado el periodo de protección legal.
Finalmente, en las disposiciones Finales del presente Decreto, y además de la ya citada modificación del Decreto 1/2004, de 13 de enero, se introducen modificaciones puntuales en el Decreto 11/2022, de 20 de enero, por el que se crea y regula el Registro de Agentes Inmobiliarios de Canarias, así como en el Decreto 1/2023, de 19 de enero, por el que se establecen las medidas de acceso a la propiedad de viviendas protegidas y se regula el procedimiento para su calificación.
En particular, la modificación del Decreto 11/2022, de 20 de enero, tiene por objeto reconocer expresamente como capacitación profesional suficiente para la inscripción en el citado Registro la condición de persona administradora de fincas colegiada, que se adiciona a las capacitaciones ya previstas.
Por su parte, la modificación del Decreto 1/2023, de 19 de enero, incorpora determinadas medidas dirigidas a reforzar las garantías en el acceso a la propiedad de viviendas protegidas de promoción privada, entre las que se incluyen la previsión de cláusulas de inserción obligatoria en los contratos de compraventa, así como en los contratos de arrendamiento y en los supuestos de cesión de uso de dichas viviendas, junto con la regulación del visado administrativo de tales contratos.
Este Decreto se adecúa a los principios de buena regulación establecidos en el artículo 129.1 de la Ley 39/2015, de 1 de octubre, del Procedimiento Administrativo Común de las Administraciones Públicas, y también en el artículo 66 de la Ley 4/2023, de 23 de marzo, de la Presidencia y del Gobierno de Canarias, cumpliendo el presente preámbulo con el artículo 80.5 de la citada ley territorial. Así pues, de acuerdo con los principios de necesidad y eficacia, el presente Decreto se justifica por una razón de interés general, cual es regular el procedimiento de adjudicación de las viviendas protegidas de promoción pública, a las personas que tengan una especial dificultad, o estén imposibilitadas, para acceder al mercado inmobiliario, o a personas con características o circunstancias especiales e identifica claramente los fines perseguidos; siendo el instrumento más adecuado para garantizar su consecución. Conforme al principio de proporcionalidad, este Decreto contiene la regulación imprescindible para atender la necesidad a cubrir. Por otra parte, y para garantizar el principio de seguridad jurídica, la disposición de carácter general se ha redactado de manera coherente con el resto del ordenamiento jurídico vigente, para facilitar así su conocimiento y comprensión por los destinatarios de la norma. Además, en aplicación del principio de transparencia, se posibilita el acceso sencillo, universal y actualizado a la normativa en vigor y a los documentos propios de su proceso de elaboración, a través del Portal de Transparencia del Gobierno de Canarias y, Finalmente, de acuerdo con el principio de eficiencia, el presente Decreto evita la imposición de cargas administrativas innecesarias o accesorias para sus destinatarios.
Asimismo, en el presente Decreto se ha dado cumplimiento a la Ley 1/2010, de 26 de febrero, Canaria de Igualdad entre Mujeres y Hombres, y a la Ley 2/2021, de 7 de junio, de igualdad social y no discriminación por razón de identidad de género, expresión de género y características sexuales.
En su virtud y de conformidad con lo dispuesto en el artículo 50.3 del Estatuto de Autonomía de Canarias, reformado mediante la Ley Orgánica 1/2018, de 5 de noviembre; en relación con lo previsto en los artículos 20, 28.d), 65 y 76.1 de la Ley 4/2023, de 23 de marzo, de la Presidencia y del Gobierno de Canarias, y demás disposiciones de general aplicación; cumplidos los trámites de consulta pública previa, audiencia a las personas interesadas e información pública; oídos la Comisión de Vivienda, el Consejo General de Servicios Sociales y el Instituto Canario de la Vivienda, de acuerdo con el Dictamen n.º 50, de 11 de febrero de 2026, del Consejo Consultivo de Canarias; a propuesta conjunta del Consejero de Obras Públicas, Vivienda y Movilidad y de la Consejera de Presidencia, Administraciones Públicas, Justicia y Seguridad, y previa deliberación del Gobierno en su reunión celebrada el día 9 de marzo de 2026,
DISPONGO:
El presente Decreto tiene por objeto regular en el ámbito territorial de la Comunidad Autónoma de Canarias:
a) El régimen de inscripción, funcionamiento y estructura del Registro Público de Demandantes de Vivienda Protegida de Canarias.
b) El régimen de adjudicación de las viviendas protegidas de promoción pública de régimen especial.
c) El régimen de adjudicación de plazas de garaje u otros anejos no vinculados en promociones de viviendas de titularidad del Instituto Canario de la Vivienda.
d) El régimen de adjudicación de las viviendas protegidas de promoción pública de régimen general.
e) El régimen de adjudicación de los alojamientos con espacios comunes complementarios.
1. A los efectos de este Decreto, se considera unidad familiar o de convivencia a la persona física o el conjunto de personas que conviven en una vivienda de forma habitual y permanente y con vocación de estabilidad, con independencia de la relación existente entre todas ellas.
2. Cada persona solo podrá formar parte de una unidad familiar o de convivencia, con excepción de las personas menores de edad a cargo que estén bajo el régimen de guarda o custodia compartida.
3. La persona que conste como representante de la unidad familiar o de convivencia en el Registro Público de Demandantes de Vivienda Protegida de Canarias será la representante de esta en todos los procedimientos regulados en este Decreto en que sea requisito la inscripción en dicho Registro.
La determinación de los ingresos de la unidad familiar o de convivencia se realizará de conformidad con lo dispuesto en el Anexo 1 del presente Decreto, apartados 1.1 y 1.2, para determinar los ingresos netos computables y los ingresos netos computables ponderados, respectivamente.
1. La vivienda de promoción pública que se adjudique deberá ser adecuada al tamaño de la unidad familiar o de convivencia, atendiendo al número de dormitorios y de conformidad con los siguientes criterios:
a) Con carácter general, la ocupación máxima será de dos personas por dormitorio.
b) Excepcionalmente, podrá superarse dicha ocupación cuando, por inexistencia de viviendas suficientes en la promoción, no sea posible atender la demanda de unidades familiares o de convivencia numerosas, permitiéndose una ocupación superior conforme a los criterios del apartado 3.
c) Se exceptuará la regla general cuando algún miembro de la unidad familiar o de convivencia precise, por prescripción emitida por facultativo especialista del sistema público de salud, disponer de un dormitorio individual. Esta necesidad solo implicará la adición de un dormitorio respecto del mínimo general cuando el número total de miembros de la unidad familiar o de convivencia sea par.
d) No podrá adjudicarse una vivienda cuyo número de dormitorios sea superior al número de personas que integran la unidad familiar o de convivencia, salvo lo previsto en el apartado 3.d).
2. A los efectos de aplicar los criterios del apartado anterior, el número mínimo de dormitorios que debe tener una vivienda para considerarse adecuada a una unidad familiar o de convivencia se determinará conforme a la siguiente regla:
El número mínimo de dormitorios (d) será igual al menor valor entre:
- El número de dormitorios (D) de la vivienda con mayor número de habitaciones disponible en la promoción, y
- el número entero inmediatamente superior al resultado de dividir entre dos el número total de miembros de la unidad familiar o de convivencia (N), incrementado en una unidad cuando concurra el factor delta (δ), entendido como un valor igual a uno si existe prescripción facultativa en los términos de la letra c) del apartado 1 y el número total de miembros es par; y cero en caso contrario.
Es decir:
donde:
• d: número mínimo de dormitorios que debe tener la vivienda.
• N: número total de miembros de la unidad familiar o de convivencia.
• D: número de dormitorios de la vivienda de mayor tamaño, en cuanto a número de dormitorios, disponible en la promoción.
• [N/2]: valor entero inmediatamente superior (función techo) del cociente entre N y 2.
• δ: valor igual a 1 cuando exista prescripción facultativa que justifique la necesidad de dormitorio individual y el número total de miembros de la unidad sea par; en otro caso, δ = 0.
• min (D, [N/2] + δ): función que selecciona el menor valor entre el número de dormitorios de la vivienda de mayor tamaño disponible (D) y el resultado de la suma [N/2] + δ.
3. Determinada la asignación provisional de viviendas según el número mínimo de dormitorios, se efectuará un reajuste de las asignaciones para adecuarlas a la tipología de viviendas disponibles en la promoción, con arreglo a los siguientes criterios:
a) Cuando el número de viviendas disponibles con un determinado número de dormitorios sea inferior al de unidades familiares o de convivencia que cumplen los requisitos para su asignación, la prioridad se determinará atendiendo, sucesivamente, a los siguientes criterios:
a.1) En primer lugar, se ordenarán las unidades familiares o de convivencia en función de la relación entre el número de miembros y el número de dormitorios de la vivienda, otorgando mayor prioridad a las relaciones más elevadas dentro del intervalo de adecuación (entre 1 y 2). A estos efectos, se considerarán prioritarias, por este orden, las unidades con relaciones más próximas a 2, seguidas de las progresivamente inferiores.
a.2) En segundo lugar, tendrán prioridad las unidades familiares o de convivencia que cuenten con menores a cargo.
a.3) En tercer lugar, se aplicará, en su caso, la puntuación obtenida en la baremación del procedimiento de adjudicación.
b) Cuando no existan viviendas con el número mínimo de dormitorios exigido para una determinada unidad familiar o de convivencia, pero sí haya viviendas de mayor tamaño, podrá asignarse una de estas, siempre que se apliquen, en todo caso, los criterios de prioridad establecidos en la letra a) del presente apartado, así como los criterios previstos en el apartado 1.
c) Excepcionalmente, podrá admitirse una ocupación de hasta un máximo de tres personas en un dormitorio, cuando concurran razones justificadas que afecten a menores de edad.
d) De manera excepcional, como medida de acción positiva en favor de la inclusión y accesibilidad, podrá adjudicarse una vivienda que cuente con un número de dormitorios superior al número de personas que integran la unidad familiar o de convivencia, cuando se trate de una vivienda adaptada, en Segundas o posteriores adjudicaciones, y la unidad familiar o de convivencia incluya a una persona que cumpla todos los requisitos siguientes:
d.1) Tener reconocido un grado de discapacidad igual o superior al 65% o haber sido valorada en situación de gran dependencia (Grado III), de conformidad con la normativa vigente.
d.2) Presentar una limitación grave o total de movilidad conforme al baremo específico contenido en el Anexo II del Real Decreto 888/2022, de 18 de octubre, por el que se establece el procedimiento para el reconocimiento, declaración y calificación del grado de discapacidad, o norma que lo sustituya.
d.3) Precisar, de forma permanente, el uso de ayudas técnicas o el apoyo de una Tercera persona para su desplazamiento habitual.
En estos supuestos, se aplicarán los criterios de prioridad establecidos en este artículo y se procurará, en todo caso, la reubicación en una vivienda conforme al régimen ordinario, en función de la disponibilidad del parque público.
4. Cuando algún miembro de la unidad familiar o de convivencia presente una limitación grave o total de movilidad que requiera el uso permanente de silla de ruedas u otros dispositivos técnicos de apoyo, debidamente acreditada conforme al baremo contenido en el Anexo II del Real Decreto 888/2022, de 18 de octubre, o norma que lo sustituya, la vivienda se considerará adecuada si, además de cumplir lo dispuesto en los apartados anteriores, reúne las condiciones de accesibilidad y adaptación exigidas por la normativa específica en materia de edificación y accesibilidad universal.
1. El Registro Público de Demandantes de Vivienda Protegida de Canarias tiene por Finalidad principal facilitar los datos precisos para la adjudicación y venta de las viviendas protegidas, tanto en Primera como ulteriores transmisiones, así como proporcionar a las diferentes Administraciones Públicas canarias la información actualizada sobre la demanda de vivienda protegida en la Comunidad Autónoma de Canarias.
2. El citado Registro es de titularidad pública, de naturaleza administrativa, de carácter gratuito y único para todo el territorio de la Comunidad Autónoma de Canarias.
3. El Registro Público de Demandantes de Vivienda Protegida de Canarias queda adscrito al Instituto Canario de la Vivienda, que asume su gestión, sin perjuicio de lo dispuesto en el apartado siguiente.
4. El Instituto Canario de la Vivienda podrá suscribir con los Ayuntamientos de las islas o con los Cabildos Insulares convenios tipo para la colaboración en la gestión y llevanza de dicho Registro.
1. El Registro Público de Demandantes de Vivienda Protegida de Canarias tiene la siguiente estructura:
a) Por el ámbito territorial de demanda:
a.1) Insular.
a.2) Municipal.
b) Por la clase de vivienda objeto de demanda:
b.1) De promoción pública:
b.1.1) De régimen general.
b.1.2) De régimen especial.
b.2) De promoción privada:
b.2.1) De régimen general.
b.2.2) De régimen especial.
c) Por el régimen de acceso:
c.1) En régimen de alquiler.
c.2) En régimen de venta, únicamente para promoción privada, salvo lo dispuesto en la disposición Transitoria Cuarta para los supuestos en ella especificados.
d) Por la modalidad habitacional:
d.1) Vivienda.
d.2) Alojamiento con espacios comunes complementarios.
2. Por orden de la persona titular de la Consejería competente en materia de vivienda se podrá concretar o ajustar esta estructura para la más correcta programación de las necesidades en materia de vivienda protegida en el ámbito territorial de la Comunidad Autónoma de Canarias.
La inscripción en el Registro Público de Demandantes de Vivienda Protegida de Canarias será obligatoria y preceptiva para todas las personas físicas o unidades familiares o de convivencia que opten a la adjudicación de una vivienda protegida de promoción pública, u opten por la adquisición o arrendamiento de una vivienda protegida de promoción privada.
Asimismo, la inscripción en el citado Registro será obligatoria para la adjudicación de alojamientos protegidos con espacios comunes complementarios.
1. La persona que, a título individual o como miembro representante de la unidad familiar o de convivencia, solicite la inscripción deberá ostentar la mayoría de edad o tener la condición de menor emancipado y residir en alguno de los municipios de la Comunidad Autónoma de Canarias.
2. Los ingresos de la unidad familiar o de convivencia no podrán exceder de 5 veces el Indicador Público de Renta de Efectos Múltiples (en adelante, IPREM) anual en 14 pagas. Dicho umbral será de 6 veces el IPREM cuando se trate de familias numerosas de categoría especial, conforme a la clasificación establecida en la Ley 40/2003, de 18 de noviembre, de Protección a las Familias Numerosas, o norma que la sustituya, o incluyan personas con discapacidad de alguno de los siguientes tipos:
a) Personas con parálisis cerebral, personas con enfermedad mental, personas con discapacidad intelectual o personas con discapacidad del desarrollo, con un grado de discapacidad reconocido igual o superior al 33%; o
b) Personas con discapacidad física o sensorial, con un grado de discapacidad reconocido igual o superior al 65%.
En caso de que los planes de vivienda o la normativa sectorial vigente modifiquen dichos umbrales, será aplicable el número máximo de veces el IPREM anual (14 pagas) establecido en aquella normativa.
A los efectos previstos en este artículo, los ingresos tendrán la consideración de ingresos netos computables, determinados conforme al artículo 3 del presente Decreto, y se referirán al ejercicio económico cerrado más reciente en la fecha de solicitud de inscripción en el Registro Público de Demandantes de Vivienda Protegida de Canarias.
3. Ningún miembro de la unidad familiar o de convivencia podrá ser titular del pleno dominio o de un derecho real de uso y disfrute sobre vivienda alguna. A estos efectos, no se considerará que se es persona propietaria o usufructuaria de una vivienda si el derecho recae únicamente sobre una parte alícuota no superior al 50% de la misma, y se ha obtenido por transmisión mortis causa. Se exceptuarán de este requisito quienes, siendo titulares de una vivienda, acrediten la no disponibilidad de la misma por causa de separación o divorcio; por cualquier otra causa ajena a su voluntad; por estar declarada ruinosa; o cuando la vivienda resulte inaccesible por razón de discapacidad del titular o de algún miembro de la unidad de convivencia, o por no reunir las condiciones mínimas de habitabilidad establecidas en la normativa sectorial aplicable.
4. Las personas o las unidades de convivencia que disfruten de una modalidad habitacional protegida en promoción privada, bien como vivienda en régimen de arrendamiento o en alojamiento con espacios comunes complementarios, solo podrán inscribirse en el mismo régimen de arrendamiento, o en el de venta, durante los tres meses anteriores a la fecha de Finalización del contrato.
5. La persona solicitante de la inscripción debe tener vecindad administrativa en la Comunidad Autónoma de Canarias con al menos cuatro años de residencia ininterrumpida debidamente acreditada. Cuando se trate de emigrantes retornados se estará a lo dispuesto en el artículo 24.3.b) de este Decreto.
6. El valor del patrimonio de la unidad familiar o de convivencia, a efectos de la inscripción en el Registro y referido al último ejercicio económico cerrado en la fecha de la solicitud, no podrá superar el umbral patrimonial establecido para el acceso a viviendas protegidas de promoción privada. Dicho umbral se corresponderá con el precio de referencia de una vivienda protegida de promoción privada de 68 m² de superficie útil, situada en isla capitalina y en tipología de edificio de vivienda colectiva, calculado a la fecha de la inscripción, conforme a lo dispuesto en el Decreto ley 24/2020, de 23 de diciembre, de medidas extraordinarias y urgentes en los ámbitos de vivienda, transportes y puertos de titularidad de la Comunidad Autónoma de Canarias, o norma que lo sustituya.
No obstante, para poder optar a una vivienda de promoción pública será de aplicación lo previsto en el artículo 21.1.g) de este Decreto.
1. La solicitud de inscripción en el Registro Público de Demandantes de Vivienda Protegida de Canarias se realizará mediante declaración responsable por persona física a título individual o como miembro representante de una unidad familiar o de convivencia, debidamente formalizada, en la que manifieste el cumplimiento de todos los requisitos establecidos en el artículo anterior, que dispone de la documentación acreditativa y que la pondrá a disposición de la Administración cuando le sea requerida.
2. Todas las personas integrantes de la unidad familiar o de convivencia mayores de edad o emancipadas deberán prestar su consentimiento a la inscripción. Se considerará otorgado este consentimiento con la presentación de la declaración responsable a que se refiere el apartado anterior por parte de la persona representante de la unidad familiar o de convivencia, firmada por todas las personas integrantes.
3. Únicamente se admitirá una solicitud por cada unidad familiar o de convivencia. Asimismo, ninguna persona podrá figurar inscrita simultáneamente como integrante de dos unidades familiares o de convivencia diferentes, con la excepción a la que hace referencia el apartado 2 del artículo 2.
4. La persona representante de la unidad familiar o de convivencia presentará la solicitud de inscripción con la declaración responsable correspondiente, a través de medios electrónicos, según los modelos que estarán disponibles en la sede electrónica de la Administración Pública de la Comunidad Autónoma de Canarias, en el registro electrónico de la misma. También se podrá presentar en los restantes registros electrónicos y lugares previstos en el artículo 16.4 de la Ley 39/2015, de 1 de octubre, del Procedimiento Administrativo Común de las Administraciones Públicas, o norma que la sustituya.
5. Las notificaciones que sean precisas se efectuarán en el tablón de anuncios de la sede electrónica de la Administración Pública de la Comunidad Autónoma de Canarias. En el supuesto de que la persona interesada lo haya manifestado expresamente, la notificación se practicará también por medios electrónicos de acuerdo a lo dispuesto en el Decreto 19/2011, de 10 de febrero, por el que se regula la utilización de los medios electrónicos en la Administración Pública de la Comunidad Autónoma de Canarias, o norma que lo sustituya.
1. La presentación de la solicitud de inscripción mediante declaración responsable en el Registro Público de Demandantes de Vivienda Protegida de Canarias, supondrá la adquisición por parte de la unidad familiar o de convivencia de la condición de demandante de vivienda protegida y su incorporación al Registro.
2. La adquisición de la condición de demandante de vivienda protegida permitirá participar en los distintos procedimientos de acceso a la vivienda protegida, de promoción privada o de promoción pública, previstos en la normativa vigente, con independencia de las opciones o regímenes que haya indicado como preferentes.
3. La inscripción en el Registro surtirá efectos desde el día de la presentación de la declaración responsable.
La declaración responsable, cuyo modelo estará incorporado a la ficha del Sistema de Información de Actuaciones Administrativas de la Administración Pública de la Comunidad Autónoma de Canarias (SICAC), disponible en su sede electrónica, tendrá el siguiente contenido:
1. Los datos identificativos, fecha de nacimiento y estado civil de la persona solicitante y del resto de personas integrantes de la unidad familiar o de convivencia y, en su caso, el grado de parentesco existente entre ellas.
2. El domicilio de la persona solicitante a efectos de notificación, número de teléfono de contacto y dirección de correo electrónico para el envío de avisos de notificaciones.
3. El ámbito territorial de opción que, para viviendas de promoción pública, comprenderá el municipio del domicilio de la unidad familiar o de convivencia y, en su caso, el municipio de trabajo de cualquiera de sus miembros mayores de edad, hasta un máximo de tres municipios por unidad familiar o de convivencia.
En el caso de viviendas protegidas de promoción privada, la inscripción habilita para optar a viviendas ubicadas en cualquier municipio de la Comunidad Autónoma de Canarias, debiendo indicarse, en todo caso, un municipio preferente.
4. La condición, en su caso, de familia numerosa de categoría especial.
5. La circunstancia, en su caso, de existencia de personas con discapacidad de alguno de los siguientes tipos:
a) Personas con parálisis cerebral, enfermedad mental, discapacidad intelectual o del desarrollo, con un grado de discapacidad reconocido igual o superior al 33% o
b) personas con discapacidad física o sensorial, con un grado de discapacidad reconocido igual o superior al 65%.
6. La condición, en su caso, de víctima de violencia de género.
7. La condición, en su caso, de emigrante retornado.
8. Clase de vivienda protegida o de alojamiento protegido con espacios comunes complementarios preferente, que podrá ser de promoción pública de régimen especial o de régimen general o de promoción privada de régimen especial o general.
9. Régimen preferente de acceso a la vivienda, que podrá ser el de arrendamiento o venta, en esta última modalidad solo en promoción privada, sin perjuicio de lo dispuesto en la disposición Transitoria Cuarta para los supuestos en ella especificados.
10. El cumplimiento de los requisitos de inscripción establecidos en el artículo 8 de este Decreto, y que dispone de la documentación que así lo acredita.
11. La autorización, en su caso, a la persona representante a la que hace referencia el apartado 3 del artículo 2.
12. Las autorizaciones u oposiciones a las consultas de datos que ya se encuentren en poder de la Administración actuante o hayan sido elaborados por cualquier otra Administración, según corresponda, de todas las personas integrantes de la unidad familiar o de convivencia mayores de edad, en su caso.
13. Cláusula sobre protección de datos personales.
14. Cualquier otra información o dato que establezcan los planes de vivienda o la normativa específica de aplicación.
15. Firma de la persona solicitante y de las demás personas integrantes de la unidad familiar o de convivencia mayores de edad o emancipadas, salvo que dichas personas de la unidad de convivencia hayan conferido la representación de la misma a una de ellas para que presente en su nombre la solicitud de inscripción.
La presentación de la declaración responsable conllevará la autorización a la Administración para recabar los datos y documentos de otras administraciones que tengan por objeto acreditar el cumplimiento y mantenimiento de los requisitos exigidos para la solicitud, salvo que la persona interesada se oponga expresamente. No obstante, la Administración recabará de forma expresa la autorización de la persona interesada para obtener los datos relativos a ingresos y patrimonio cuando así lo exija la ley especial aplicable.
En caso de que la persona interesada se opusiera a la consulta o no otorgara su autorización, en los supuestos en que esta fuera necesaria, estará obligada a aportar los datos o documentos requeridos.
1. La persona representante de la unidad familiar o de convivencia aportará, a requerimiento de la Administración en cualquier momento, la siguiente documentación acreditativa:
a) El documento acreditativo de la identidad de la persona representante y de los demás integrantes de la unidad familiar o de convivencia (DNI, NIE o pasaporte).
b) El certificado de empadronamiento histórico colectivo o de convivencia donde consten las personas que tienen su domicilio habitual y permanente en la vivienda en la que reside la unidad familiar o de convivencia y que acredite la residencia en Canarias.
c) Certificado tributario de la declaración anual del Impuesto sobre la Renta de las Personas Físicas del último ejercicio fiscal vencido en el momento de presentar la solicitud, con código seguro de verificación, expedido por la Agencia Estatal de Administración Tributaria (AEAT), para todos los miembros de la unidad familiar o de convivencia, sobre la base imponible general y del ahorro más la reducción por obtención de rendimientos del trabajo y los otros gastos deducibles (exceptuando las deducciones efectuadas en concepto de cotizaciones a la Seguridad Social, Mutualidades Generales y detracciones por derechos pasivos). Si un miembro no está obligado a declarar el IRPF, aportará certificado de las imputaciones que le constan a la AEAT.
d) Certificación catastral de los bienes inmuebles de todas las personas integrantes de la unidad familiar o de convivencia.
e) Libro de Familia o documento oficial sustitutivo.
f) Título oficial de reconocimiento de la condición de familia numerosa de categoría especial, en su caso.
g) Documento acreditativo del reconocimiento del grado de discapacidad de alguno de los tipos mencionados en el artículo 11 de este Decreto, de las personas integrantes de la unidad familiar o de convivencia, en su caso.
h) En el supuesto de ser titular del pleno dominio o de un derecho real de uso y disfrute sobre alguna otra vivienda protegida, o de una vivienda libre, documentación acreditativa de la privación de su uso por causas no imputables a la persona interesada.
i) Certificado de prestaciones percibidas de la Seguridad Social, en el caso de que la base imponible general y del ahorro de la declaración del IRPF sea cero o negativa.
j) Declaración responsable de ingresos en el caso de que los apartados c) e i) no contemplen los datos económicos correspondientes, con indicación de la fuente de los mismos.
k) Certificado acreditativo de la condición de emigrante retornado, en su caso, conforme a lo dispuesto en el artículo 11 del Real Decreto 625/1985, de 2 de abril, por el que se desarrolla la Ley 31/1984, de 2 de agosto, de Protección por Desempleo, o norma que lo sustituya.
l) Documentación acreditativa de la condición de víctima de violencia de género, en su caso. Dicha documentación se ajustará a lo establecido en la Ley Orgánica 1/2004, de 28 de diciembre, de Medidas de Protección Integral contra la Violencia de Género, o norma que la sustituya.
2. La valoración del patrimonio se realizará aplicando las siguientes reglas:
a) Bienes inmuebles de naturaleza urbana. La valoración se efectuará conforme al valor de referencia catastral determinado según lo previsto en el Real Decreto Legislativo 1/2004, de 5 de marzo, por el que se aprueba el texto refundido de la Ley del Catastro Inmobiliario, o norma que lo sustituya, disponible mediante certificación catastral expedida en la sede electrónica del Catastro.
En caso de inexistencia de valor de referencia catastral, se aplicarán los coeficientes multiplicadores del valor catastral aprobados por la Consejería competente en materia de hacienda del Gobierno de Canarias, vigentes en la fecha de la valoración, utilizados a efectos del Impuesto sobre Transmisiones Patrimoniales y Actos Jurídicos Documentados y del Impuesto sobre Sucesiones y Donaciones.
b) Bienes inmuebles de naturaleza rústica. Se aplicará, en primer lugar, el valor de referencia catastral. Si no existiera, la valoración se realizará conforme a los precios medios de mercado aprobados por la Consejería competente en materia de hacienda del Gobierno de Canarias, vigentes en la fecha de valoración, utilizados para la liquidación del Impuesto sobre Transmisiones Patrimoniales y Actos Jurídicos Documentados y del Impuesto sobre Sucesiones y Donaciones.
3. En todo caso, en aquellos supuestos en los que los documentos acreditativos a aportar se encuentren en la Administración actuante o hayan sido elaborados por cualquier otra Administración Pública, el Instituto Canario de la Vivienda consultará o recabará directamente dichos documentos, salvo que haya oposición expresa de la persona interesada o no haya autorizado en los casos en que la ley especial aplicable requiera su consentimiento o autorización expresa.
4. Si la persona interesada ha prestado su consentimiento para que esta Administración realice las comprobaciones oportunas, pero la consulta de alguno de los requisitos no estuviera disponible en las redes corporativas, en las plataformas de intermediación de datos o en otros sistemas electrónicos habilitados al efecto, se estará a lo previsto en el artículo 61.2.b) del Reglamento de actuación y funcionamiento del sector público por medios electrónicos, aprobado por el Real Decreto 203/2021, de 30 de marzo, o norma que lo sustituya.
1. En ejercicio de las facultades de comprobación, control e inspección, la Administración competente podrá solicitar, en cualquier momento, los documentos acreditativos de los datos consignados en la declaración responsable que no se encuentren en poder de dicha Administración, ni hayan sido elaborados por cualquier otra Administración, estando obligada la unidad familiar o de convivencia a aportarlos en el plazo de diez días hábiles tras la notificación.
2. Las notificaciones que fuere preciso realizar se practicarán mediante publicación en el tablón de anuncios de la sede electrónica de la Administración Pública de la Comunidad Autónoma de Canarias, teniendo en cuenta lo dispuesto en el apartado 5 del artículo 40 de la Ley 39/2015, de 1 de octubre, del Procedimiento Administrativo Común de las Administraciones Públicas. El Instituto Canario de la Vivienda enviará, paralelamente, un aviso de dicha publicación al dispositivo electrónico y/o dirección de correo electrónico que haya facilitado la persona interesada en la declaración responsable de inscripción.
Asimismo, cuando fuere preciso realizar una notificación individual, con independencia de que la misma se realice en papel o por medios electrónicos, se enviará un aviso al dispositivo electrónico y/o dirección de correo electrónico facilitados informando a la persona interesada de la puesta a disposición de la notificación en la sede electrónica. La falta de recepción de este aviso no impedirá que la notificación surta plenos efectos.
3. Cuando en ejercicio de dichas facultades se detectara inexactitud, falsedad u omisión de carácter esencial, de cualquier dato o información incorporada a la declaración responsable, o la no presentación de la documentación que sea en su caso requerida para acreditar el cumplimiento de lo declarado o comunicado, o el incumplimiento del deber de comunicar las modificaciones, se iniciará de oficio el procedimiento para la baja de la unidad familiar o de convivencia del Registro Público de Demandantes de Vivienda Protegida de Canarias, en el que se dará audiencia a las personas interesadas. Todo ello sin perjuicio de las responsabilidades penales, civiles o administrativas a que hubiera lugar.
1. La unidad familiar o de convivencia deberá mantener actualizada la información que figura en el Registro Público de Demandantes de Vivienda Protegida de Canarias y comunicar mediante declaración responsable cualquier modificación de los datos aportados en el plazo de un mes a contar desde la fecha en que dicha modificación se haya producido. Se deberá comunicar, incluso, la eventual adjudicación de una solución habitacional temporal no superior a un año en virtud de un programa de una Administración Pública, así como sus prórrogas. En caso de que el citado programa sea del Instituto Canario de la Vivienda, esta actualización se inscribirá de oficio.
2. La incorporación al Registro de nuevos miembros de la unidad familiar o de convivencia requerirá el consentimiento de las personas integrantes mayores de edad o menores emancipadas, salvo en el caso de nacimiento, adopción de hijos o tutela.
3. La baja como integrante de la unidad familiar o de convivencia precisará únicamente el consentimiento expreso de la persona que cause baja. A falta de consentimiento de esta, habrá de acreditarse la baja con la documentación pertinente.
4. En el supuesto de fallecimiento o baja de la persona representante de la unidad familiar o de convivencia deberá designarse a una nueva persona representante.
5. En estos supuestos, se mantendrán tanto el número de inscripción registral como el periodo de vigencia de la inscripción.
1. La inscripción en el Registro tendrá una vigencia de cuatro años a contar desde la fecha de la inscripción.
2. La persona representante de la unidad familiar o de convivencia podrá solicitar la renovación de la inscripción como demandante de vivienda con una antelación máxima de tres meses respecto a la fecha de Finalización de su vigencia, mediante la presentación de la correspondiente solicitud, acompañada de una declaración responsable en la que se haga constar el cumplimiento de los requisitos establecidos en el artículo 8 de este Decreto, la disponibilidad de la documentación acreditativa correspondiente y el compromiso de ponerla a disposición de la Administración cuando se le requiera.
La falta de renovación dentro del plazo señalado podrá dar lugar a la baja de oficio en el Registro, previa tramitación del procedimiento establecido en el artículo 18 del presente Decreto.
3. Cada renovación tendrá una vigencia de cuatro años, que se computarán desde el día siguiente a la fecha de Finalización del periodo de vigencia anterior.
1. Procederá la cancelación de la inscripción en el Registro Público de Demandantes de Vivienda Protegida en los siguientes supuestos:
a) Por la Finalización del periodo de vigencia de la inscripción sin que se hubiera procedido a su renovación.
b) A petición de la persona representante de la unidad familiar o de convivencia, firmada por el conjunto de las personas mayores de edad y menores emancipadas que formen parte de esta.
c) Por la adjudicación o adquisición de una vivienda a la persona solicitante o a su unidad familiar o de convivencia, salvo cuando dicha vivienda haya sido adjudicada como solución habitacional temporal por un periodo inicial no superior a doce meses, en el marco de un programa subvencionado por una Administración Pública, y siempre que, aun existiendo prórrogas, la duración total -incluidas estas- no exceda de veinticuatro meses.
d) Por el incumplimiento sobrevenido de los requisitos de inscripción en el Registro.
e) Por la constatación de la inexactitud, falsedad u omisión de los datos esenciales consignados en la solicitud o en la documentación aportada.
f) Por el incumplimiento de las obligaciones de comunicación y actualización de datos de carácter esencial establecidas en este Decreto.
g) En caso de renuncia expresa o tácita a la adjudicación de una vivienda, salvo causa debidamente justificada y apreciada por el Instituto Canario de la Vivienda. A estos efectos, se entenderá por causa justificada cuando la vivienda no sea adecuada a las características de la unidad familiar o de convivencia de acuerdo al artículo 4.
h) Por la falta de aportación de la documentación requerida para la comprobación de los requisitos declarados en la solicitud de inscripción y/o renovación.
i) Por la usurpación u ocupación sin título habilitante de una vivienda protegida de promoción pública.
2. La baja por cualquiera de los motivos previstos en el apartado anterior trae consigo la pérdida de la condición de demandante de vivienda protegida.
1. El procedimiento de baja de la unidad familiar o de convivencia en el Registro Público de Demandantes de Vivienda Protegida de Canarias se tramitará cuando concurra alguna de las causas previstas en el artículo 17 del presente Decreto.
2. La iniciación del procedimiento podrá producirse:
a) De oficio, mediante acuerdo del órgano competente, cuando la Administración aprecie la concurrencia de alguna de las causas de baja.
b) A solicitud de la persona interesada, de conformidad con lo previsto en el artículo 17.1.b).
3. En los procedimientos iniciados de oficio, el acuerdo de inicio se notificará a la unidad familiar o de convivencia, concediéndole un plazo de diez días para formular alegaciones y presentar los documentos o justificaciones que estime pertinentes, conforme a lo dispuesto en el artículo 82 de la Ley 39/2015, de 1 de octubre, del Procedimiento Administrativo Común de las Administraciones Públicas, o norma que la sustituya.
4. La Dirección del Instituto Canario de la Vivienda será el órgano competente para la instrucción y resolución del procedimiento.
5. La resolución se notificará de acuerdo con lo previsto en el artículo 14.2 del presente Decreto, haciendo constar los recursos que procedan, órgano ante el que deben interponerse y plazo para ello.
6. Transcurrido el plazo de seis meses desde la fecha del acuerdo de inicio sin haberse dictado y notificado resolución expresa, el procedimiento de baja iniciado de oficio se entenderá caducado, procediéndose al archivo de las actuaciones.
En los procedimientos iniciados a solicitud de la persona interesada, la falta de resolución y notificación dentro del mismo plazo implicará la estimación por silencio administrativo.
7. Contra la resolución que acuerde la baja podrá interponerse recurso de alzada ante la persona titular de la Presidencia del Instituto Canario de la Vivienda, en el plazo de un mes contado desde el día siguiente al de su notificación.
El Registro Público de Demandantes de Vivienda Protegida de Canarias contendrá, como mínimo, los siguientes datos:
a) El alta, con indicación de la fecha de inscripción en el Registro.
b) Los datos de la unidad familiar o de convivencia incluidos en la solicitud de inscripción.
c) En el caso de promoción pública, la inscripción se circunscribirá a un máximo de tres municipios: el correspondiente al domicilio de la unidad familiar o de convivencia y aquellos en los que trabaje cualquier persona mayor de edad integrante de dicha unidad. Para la promoción privada, la inscripción habilitará para cualquier municipio de la Comunidad Autónoma de Canarias, sin perjuicio de la indicación del municipio de preferencia.
d) Las modificaciones y variaciones de los datos de la unidad familiar o de convivencia.
e) Clase de vivienda protegida y régimen (arrendamiento o venta) a los que opta preferentemente.
f) En su caso, la indicación de disfrutar de solución habitacional temporal no superior a doce meses en virtud de un programa de alguna Administración Pública, y sus prórrogas, siempre que la duración total de la solución habitacional, incluidas sus prórrogas, no supere los veinticuatro meses.
g) La baja de la inscripción en el Registro.
1. Los datos personales serán tratados de conformidad con lo dispuesto en la normativa sobre protección de datos personales y garantía de los derechos digitales. El acceso a datos de carácter personal contenidos en el Registro se regirá por lo dispuesto en la normativa de transparencia, acceso a la información pública y buen gobierno, así como de protección de datos personales y garantía de los derechos digitales.
2. Las personas afectadas por las distintas actividades de tratamiento podrán ejercer sus derechos de acceso, rectificación y supresión de datos, así como de limitación u oposición del tratamiento, cuando proceda, ante el Instituto Canario de la Vivienda.
3. Las comunicaciones de datos que se realicen como consecuencia de la colaboración entre Administraciones Públicas, así como el acceso a los registros por promotores de vivienda, se realizarán con la Finalidad de satisfacer el acceso a las viviendas protegidas.
1. Para ser persona adjudicataria de una vivienda protegida de promoción pública, ya sea en régimen especial o general, será necesario cumplir los siguientes requisitos:
a) Ostentar la mayoría de edad o tener la condición de menor emancipado.
b) Estar inscrita en el Registro Público de Demandantes de Vivienda Protegida de Canarias.
c) Residir en la Comunidad Autónoma de Canarias y acreditar una residencia ininterrumpida de al menos doce años, o bien de quince años si la residencia ha sido interrumpida. En el caso de personas emigrantes retornadas, se aplicará lo dispuesto en el artículo 24.3.b) de este Decreto.
d) Residir o trabajar ininterrumpidamente en el municipio en el que se encuentre la promoción de viviendas a adjudicar, con al menos cinco años de antelación a la fecha de publicación del procedimiento de adjudicación.
Este requisito no será exigible en los supuestos de víctimas de violencia de género cuando la situación de violencia haya imposibilitado su permanencia en el municipio de residencia habitual y permanente en el momento de la solicitud de participación en el procedimiento. La acreditación de la situación de violencia de género se realizará conforme a lo previsto en la Ley Orgánica 1/2004, de 28 de diciembre, de Medidas de Protección Integral contra la Violencia de Género, o norma que la sustituya.
Tampoco será exigible la continuidad en el citado periodo de cinco años a aquellas unidades familiares o de convivencia que, en el momento de publicarse el inicio del procedimiento de adjudicación, se encuentren en una solución habitacional temporal, concedida por una Administración Pública, cuya duración no exceda de doce meses, o de veinticuatro meses en caso de prórroga. En estos supuestos, se computará a efectos del requisito temporal el periodo previamente residido en el municipio antes del traslado motivado por una necesidad urgente, siempre que la solución habitacional temporal constituya la única interrupción en dicho periodo.
En el caso de personas emigrantes retornadas se estará a lo dispuesto en el artículo 24.3.b) del presente Decreto.
e) Tener necesidad de vivienda la unidad familiar o de convivencia, en los términos establecidos en el artículo siguiente de este Decreto.
f) No exceder el nivel de ingresos de la unidad familiar o de convivencia que se establece en el Capítulo II de este título según el régimen, especial o general, aplicable, calculados de conformidad con lo previsto en el artículo 3 del presente Decreto y referidos al ejercicio económico que se determine en la resolución de inicio del procedimiento de adjudicación a que hace referencia el artículo 34 de este Decreto. No obstante, cuando el acceso a la vivienda esté vinculado a un plan de vivienda, estatal o autonómico, que establezca un umbral de ingresos distinto, o la normativa sectorial lo modifique, se aplicará el límite máximo previsto en dicho plan o en la citada normativa.
g) No superar el valor del patrimonio de la unidad familiar o de convivencia los umbrales establecidos en el Capítulo II de este título según el régimen de aplicación, referido al ejercicio económico que se determine en la resolución de inicio del procedimiento de adjudicación. Estos límites patrimoniales no serán de aplicación cuando dicho patrimonio constituya la única fuente de ingresos de la unidad familiar o de convivencia.
h) No estar incursa la persona solicitante ni ningún miembro de la unidad familiar o de convivencia en resolución administrativa firme por infracción grave o muy grave en materia de vivienda, cuya sanción esté pendiente de cumplimiento. La causa de exclusión se entenderá extinguida al acreditarse el cumplimiento íntegro de la sanción.
2. La valoración del patrimonio se realizará, con carácter preferente, conforme a los valores de mercado determinados mediante la metodología que, en su caso, se establezca en la resolución de inicio del procedimiento de adjudicación. En ausencia de dicha metodología, se aplicarán las reglas previstas en el artículo 13.2 del presente Decreto.
Para ser persona adjudicataria de una vivienda protegida de promoción pública se entenderá que existe necesidad de vivienda:
1. Cuando ninguna de las personas integrantes de la unidad familiar o de convivencia sea propietaria, ni titular de derechos reales de uso o disfrute, ni ocupante sin título legal, de una vivienda, sin perjuicio de lo previsto en el apartado 3 del artículo 8 de este Decreto.
2. Cuando ninguna de las personas integrantes de la unidad familiar o de convivencia sea beneficiaria de una vivienda protegida de promoción pública en arrendamiento, salvo que, concurriendo alguna de las circunstancias previstas en las letras a) a e) del apartado 3 de este artículo, la persona solicitante se comprometa, en el momento de presentar la solicitud de participación, a renunciar a la vivienda arrendada y a efectuar su devolución efectiva en el momento de la entrega de la nueva vivienda.
3. Cuando ninguna de las personas integrantes de la unidad familiar o de convivencia sea ocupante en precario o arrendataria de una vivienda protegida o de una vivienda libre; salvo que concurra alguna de las siguientes circunstancias:
a) Pérdida del derecho al uso de la vivienda habitual, declarada por resolución judicial firme, como consecuencia de disolución matrimonial o de la pareja de hecho.
b) Habitar una vivienda cuya superficie resulte inadecuada en razón de la composición de la unidad familiar. Se presumirá que se da esta circunstancia cuando la superficie útil del inmueble sea inferior a la mínima que, en función del número de miembros de la unidad familiar, se consigna a continuación:
c) Cuando alguna de las personas integrantes de la unidad familiar o de convivencia acredite una situación de discapacidad, diversidad funcional o dependencia para la cual la vivienda habitual no es accesible y no puede ser adaptada según informe de técnico competente.
d) Cuando la persona titular de la vivienda sea víctima de violencia de género acreditada conforme a lo establecido en la Ley Orgánica 1/2004, de 28 de diciembre, de Medidas de Protección Integral contra la Violencia de Género, o norma que la sustituya, y dicha situación determine la necesidad de cambiar de domicilio.
e) Cuando la unidad familiar o de convivencia haya experimentado una variación sustancial y acreditada de su capacidad económica, mantenida durante al menos los tres ejercicios económicos anteriores a la solicitud de participación, que determine su encuadramiento en un régimen económico distinto del que motivó la adjudicación de la vivienda que ocupa, se considerará que concurre necesidad de vivienda a los efectos de su participación en el procedimiento de adjudicación correspondiente al régimen aplicable a su nueva situación.
f) Cuando se habite en una vivienda que no reúna las condiciones mínimas de habitabilidad establecidas en el Anexo 2 del Decreto 117/2006, de 1 de agosto, por el que se regulan las condiciones de habitabilidad de las viviendas y el procedimiento para la obtención de la cédula de habitabilidad, o en la norma que lo sustituya.
g) Cuando la renta arrendaticia anual de la vivienda habitada sea igual o superior al importe resultante de aplicar el porcentaje que corresponda, según el régimen aplicable, sobre los ingresos anuales netos computables de la unidad familiar o de convivencia determinados conforme al apartado 1.1 del Anexo 1 del presente Decreto: 30% en el régimen especial y 25% en el régimen general.
h) Cuando se habite en una vivienda sobre la que haya recaído declaración de ruina.
i) Cuando la persona o unidad familiar resida en un alojamiento provisional promovido o tutelado por Administraciones Públicas, o por entidades públicas o privadas sin ánimo de lucro, o cuando sea titular de una adjudicación temporal de vivienda conforme a lo previsto en el artículo 26 de este Decreto.
1. Se accederá a las viviendas protegidas de promoción pública en la modalidad de arrendamiento, sin perjuicio de lo establecido para los pisos tutelados en el artículo 52 de este Decreto.
2. En todo caso, las viviendas deberán ser destinadas a domicilio habitual y permanente de las personas adjudicatarias, sin que bajo ningún concepto puedan subarrendarse o cederse a terceros, siendo causa de resolución del contrato de arrendamiento su incumplimiento.
1. En cada promoción de viviendas protegidas de promoción pública se establecerán reservas de vivienda atendiendo a las circunstancias generales y, en su caso, específicas de las personas demandantes de vivienda.
2. Se constituirá un cupo general destinado a las personas demandantes de vivienda en quienes no concurra ninguna de las circunstancias específicas que se requieren para integrar los cupos especiales.
3. En todas las promociones se reservarán viviendas, que tendrán la consideración de cupos especiales, para atender las necesidades específicas de las siguientes personas demandantes de vivienda:
a) Personas con limitaciones funcionales graves o totales en la movilidad o la comunicación.
b) Emigrantes retornados: previsto para solicitantes que acrediten esta condición. A los efectos de este Decreto, se considerarán emigrantes retornados las personas demandantes que, habiéndose trasladado a cualquier país extranjero, cumplan los siguientes requisitos:
- Que la última residencia en territorio español antes de producirse el traslado por motivos laborales se hallase fijada en Canarias.
- Que la permanencia en el extranjero se haya prolongado por un periodo de, al menos, diez años.
- Que al momento de la solicitud de participación en el procedimiento de adjudicación de viviendas no haya transcurrido más de un año desde su retorno a Canarias y que residan o trabajen en el municipio donde radica la vivienda protegida.
c) Personas de edad hasta treinta y cinco años.
d) Personas de sesenta y cinco o más años.
e) Víctimas de violencia de género, previsto para aquellas personas solicitantes que acrediten esta condición.
4. Las personas demandantes de vivienda en el momento de participar en el procedimiento de adjudicación de una promoción de viviendas indicarán si se encuentran en alguna de las circunstancias específicas para ser integradas en alguno de los cupos especiales. Las personas o unidades familiares que puedan encuadrarse en varios cupos serán integradas en el que resulte más beneficioso para ellas.
5. Por las singularidades de los alojamientos con espacios comunes complementarios a los que hace referencia la disposición Adicional vigésima Segunda de la Ley 2/2003, de 30 de enero, de Vivienda de Canarias, introducida por el apartado cinco del artículo 29 del Decreto ley 1/2024, de 19 de febrero, de medidas urgentes en materia de vivienda, o norma que lo sustituya, en esta modalidad habitacional no será preceptiva la conformación de los cupos regulados en este artículo al estar destinados dichos alojamientos específicamente a los colectivos determinados en la citada disposición Adicional.
1. El número de viviendas a asignar a cada uno de los cupos se determinará en la resolución de inicio del procedimiento de adjudicación, teniendo en cuenta que en cada promoción se podrá asignar hasta el 54% del total de las viviendas a adjudicar al conjunto de cupos especiales, mientras que las viviendas restantes se asignarán al cupo general.
2. Las viviendas entre los distintos cupos especiales se distribuirán respetando, en todo caso, los siguientes porcentajes mínimos y máximos:
a) Para el cupo de personas con limitaciones funcionales graves o totales en la movilidad o la comunicación, se reservará un mínimo del 10% del total de viviendas de la promoción, distribuido de la siguiente forma:
a.1) Un mínimo del 5% se destinará a unidades familiares o de convivencia que incluyan a personas con discapacidad con limitaciones graves o completas de movilidad que requieren el uso permanente de silla de ruedas u otros dispositivos técnicos de apoyo para la deambulación, conforme al baremo específico contenido en el Anexo II del Real Decreto 888/2022, de 18 de octubre, o norma que lo sustituya.
a.2) Un mínimo del 5% se reservará para unidades familiares o de convivencia que incluyan a personas con limitaciones graves o completas de movilidad o comunicación, que no requieren el uso permanente de silla de ruedas ni de dispositivos técnicos de apoyo equivalentes, acreditadas conforme al baremo contenido en el Anexo II del Real Decreto 888/2022, de 18 de octubre, o norma que lo sustituya.
b) Para el cupo de personas de edad hasta treinta y cinco años, un mínimo del 20%.
c) Para el cupo para personas de sesenta y cinco o más años, un mínimo del 10%.
d) Para el cupo para víctimas de violencia de género, un mínimo del 8%.
e) Para el cupo para emigrantes retornados, un máximo del 1%.
3. En cualquier caso y sin perjuicio de lo que resulte de la aplicación de las reglas contenidas en el apartado anterior, a cada cupo especial que se establezca le será asignado como mínimo una vivienda.
4. Cuando el reducido número de viviendas que integran la promoción no permita cumplir con las reglas dispuestas en los apartados anteriores, la distribución de viviendas por cupo se llevará a cabo conforme al siguiente orden:
a) En primer lugar, se asignará una vivienda a una de las modalidades que integran el cupo de personas en situación de limitación, movilidad o comunicación reducida, a las que se refiere el apartado 2.a) de este artículo.
b) En segundo lugar, se reservará una vivienda para el cupo destinado a víctimas de violencia de género.
c) En tercer lugar, se reservará una vivienda para el cupo de personas de edad hasta treinta y cinco años.
d) En cuarto lugar, se reservará una vivienda para el cupo de personas de sesenta y cinco o más años.
e) El resto de las viviendas, si las hubiera, conformarán el cupo general.
5. Las viviendas asignadas a cupos especiales que quedasen vacantes se incorporarán al cupo general.
1. Excepcionalmente, en el marco de Segundas o posteriores adjudicaciones, podrá asignarse temporalmente una vivienda protegida de promoción pública a unidades familiares o de convivencia en situación de extrema y urgente necesidad habitacional, siempre que se encuentren inscritas en el Registro Público de Demandantes de Vivienda Protegida de Canarias y que, al menos, una de las personas integrantes cumpla con lo dispuesto en el apartado 2 de este artículo.
2. Podrá autorizarse la adjudicación temporal cuando la unidad familiar o de convivencia no cumpla con los plazos mínimos de residencia en la Comunidad Autónoma de Canarias, o de residencia o trabajo en el municipio donde se ubique la vivienda, exigidos con carácter general por este Decreto, siempre que se cumplan los siguientes requisitos:
a) Al menos una de las personas integrantes de la unidad familiar o de convivencia deberá presentar una discapacidad o dependencia con las características recogidas en el artículo 4.3.d) de este Decreto, acreditada mediante certificado expedido por el órgano competente de la Comunidad Autónoma. Excepcionalmente, y por causa debidamente justificada apreciada por la Administración adjudicante, podrá admitirse su acreditación mediante informe emitido por facultativo especialista correspondiente del sistema público de salud.
b) Deberá acreditarse una residencia continuada en Canarias de, al menos:
i) Cuatro años, para personas con nacionalidad española o de un Estado miembro de la Unión Europea, del Espacio Económico Europeo o de Suiza;
ii) Cinco años, para el resto de personas extranjeras.
c) Que el nivel de ingresos y de patrimonio de la unidad familiar o de convivencia no supere los límites establecidos para el régimen especial en los artículos 28 y 29, respectivamente, de este Decreto.
La exceptuación de los requisitos de antigüedad será acordada mediante resolución motivada del Instituto Canario de la Vivienda.
3. Cuando concurriendo los requisitos previstos en los apartados anteriores, únicamente exista disponibilidad de una vivienda adaptada cuyo número de dormitorios resulte superior al adecuado a la composición de la unidad familiar o de convivencia, podrá acordarse igualmente su adjudicación temporal, de conformidad con la excepción prevista en el artículo 4.3.d) de este Decreto.
4. Las adjudicaciones previstas en este artículo tendrán carácter temporal y se formalizarán mediante contrato de arrendamiento en régimen especial o general, según proceda, con una duración inicial máxima de cinco años. Dicho contrato podrá prorrogarse anualmente, mediante resolución motivada, hasta un máximo total de diez años, sin perjuicio de lo dispuesto en el apartado 7.
El régimen jurídico del contrato se ajustará a lo establecido en el presente Decreto y, en particular, a lo dispuesto en su artículo 54. La Administración procurará, en todo caso, la reubicación definitiva de la unidad familiar o de convivencia en una vivienda adecuada conforme al régimen ordinario de adjudicación, en función de la disponibilidad del parque público.
5. La resolución de adjudicación temporal, con la exceptuación de los requisitos ordinarios de residencia a que se refiere el primer párrafo del apartado 2, deberá estar debidamente motivada y vendrá precedida de un informe social emitido por los servicios competentes, que acredite la situación de urgencia y necesidad, su carácter excepcional y la inexistencia de alternativas habitacionales viables.
6. La unidad familiar o de convivencia beneficiaria de esta adjudicación temporal estará obligada a participar en los procedimientos ordinarios de adjudicación de viviendas ubicadas en el municipio de residencia o en municipios limítrofes.
7. El incumplimiento de la obligación establecida en el apartado anterior, ya sea por la falta de presentación de solicitud o por la desestimación de la misma por causas imputables a la persona interesada cuando estas hubieran podido ser subsanadas mediante una actuación diligente, determinará la extinción del contrato de arrendamiento temporal, previa audiencia de la persona interesada y mediante resolución motivada.
1. Una vez adjudicadas las viviendas de una promoción, se creará una lista de reserva que se confeccionará siguiendo el orden de puntuación de las personas participantes en el procedimiento de adjudicación, con independencia de los cupos a los que pertenecieran inicialmente, indicando, en su caso, la necesidad de la unidad familiar o de convivencia de vivienda adaptada.
2. Estará integrada, como mínimo, por un número de personas participantes en el procedimiento de adjudicación equivalente al número de viviendas adjudicadas en la promoción correspondiente.
3. La lista de reserva tendrá una vigencia de dos años, contados a partir de la fecha de adopción de la resolución de adjudicación de las viviendas, que podrá ser prorrogada por un periodo de un año.
4. Para permanecer en la lista de reserva, las unidades familiares o de convivencia integrantes de la misma deberán seguir inscritas en el Registro Público de Demandantes de Vivienda Protegida de Canarias y mantener los requisitos para poder ser personas adjudicatarias a la fecha de adjudicación.
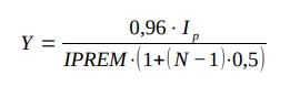
La unidad familiar o de convivencia deberá tener un nivel de ingresos que no exceda de 2,5 veces el IPREM anual en catorce pagas, calculados de conformidad con lo previsto en el artículo 3 del presente Decreto.
A efectos del cálculo de ingresos, en el régimen especial se tomarán los ingresos netos computables ponderados conforme al apartado 1.2 del Anexo 1 del presente Decreto.
El valor del patrimonio de la unidad familiar o de convivencia no podrá superar el 50% del precio máximo de venta de una vivienda protegida de promoción pública de 68 metros cuadrados, calculado conforme a lo establecido en el Decreto 1/2004, de 13 de enero, por el que se establece el precio máximo de venta y la renta máxima inicial anual de las viviendas protegidas de promoción pública, o norma que lo sustituya, y referido al momento de la publicación del inicio del procedimiento de adjudicación.
1. La unidad familiar o de convivencia deberá tener un nivel de ingresos que no exceda de cinco veces el IPREM anual en catorce pagas. Este límite será de seis veces el IPREM en los casos de familias numerosas de categoría especial o cuando concurra alguna de las siguientes situaciones de discapacidad:
a) Parálisis cerebral, enfermedad mental, discapacidad intelectual o del desarrollo, con un grado de discapacidad reconocido igual o superior al 33%.
b) Discapacidad física o sensorial, con un grado de discapacidad reconocido igual o superior al 65%.
A efectos del cálculo de ingresos, en el régimen general se tomarán los ingresos netos computables conforme al apartado 1.1 del Anexo 1 del presente Decreto.
2. Asimismo, los ingresos anuales de la unidad familiar o de convivencia, calculados conforme a lo dispuesto en el apartado anterior, deberán alcanzar, como mínimo, los umbrales establecidos en la siguiente escala, expresados en múltiplos del IPREM anual en catorce pagas, en función del número de miembros que la integran:
El valor del patrimonio de la unidad familiar o de convivencia no podrá superar el 50% del precio máximo de una vivienda protegida de 68 metros cuadrados de promoción privada, situada en isla capitalina y de tipología de edificio de vivienda colectiva, calculado conforme a lo dispuesto en el Decreto ley 24/2020, de 23 de diciembre, de medidas extraordinarias y urgentes en los ámbitos de vivienda, transportes y puertos de titularidad de la Comunidad Autónoma de Canarias, o norma que lo sustituya, y referido al momento de la publicación del inicio del procedimiento de adjudicación.
La adjudicación de las viviendas protegidas de promoción pública se llevará a cabo a través del sistema de baremación, o bien mediante adjudicación directa, y teniendo en cuenta la adecuación de la vivienda a la unidad familiar o de convivencia, conforme a lo establecido en el artículo 4 de la presente norma.
En el sistema de baremación, los criterios a aplicar serán los establecidos en el Anexo 1 de este Decreto para el régimen especial, mientras que para el régimen general se aplicarán los criterios del Anexo 2.
1. La adjudicación mediante el sistema de baremación se aplicará en las promociones de viviendas protegidas de nueva construcción, incluida su adquisición, cuando el número de personas demandantes participantes en el procedimiento sea superior al número de viviendas a adjudicar.
2. Cuando el número de viviendas protegidas de nueva construcción, incluidas las de adquisición, sea superior al número de personas participantes, la adjudicación se realizará de forma directa.
1. El inicio del procedimiento de adjudicación de promociones de viviendas de nueva construcción o adquisición se realizará de oficio, mediante la adopción de la correspondiente resolución por parte de la persona titular de la Dirección del Instituto Canario de la Vivienda.
2. Dicha resolución será objeto de publicación en el Boletín Oficial de Canarias, en el tablón de anuncios de la sede electrónica de la Administración Pública de la Comunidad Autónoma de Canarias y en el tablón de anuncios de la sede electrónica del ayuntamiento donde se encuentre la promoción de viviendas, sin perjuicio de su difusión en cualquier otro medio que se considere oportuno.
3. La resolución por la que se acuerde el inicio del procedimiento de adjudicación indicará, al menos, los siguientes extremos:
a) El término municipal en el que radica la promoción y el número de viviendas que la integran, con indicación de superficie y número de dormitorios, así como el de sus anejos vinculados, ya sean trasteros o garajes; y con mención expresa al piso tutelado, en su caso.
b) La indicación provisional de cupos.
c) La determinación de la modalidad de acceso a las viviendas, que deberá ser la de arrendamiento, precisando si se aplica el régimen especial o el régimen general.
d) La fecha prevista de Finalización de las obras de construcción de las viviendas.
e) La fecha límite de inscripción en el Registro Público de Demandantes de Vivienda de Canarias, que determinará las personas demandantes que, estando inscritas a dicha fecha, podrán participar en el procedimiento de adjudicación.
f) Fecha o periodo de referencia para acreditar el cumplimiento de los requisitos y las circunstancias baremables.
g) La indicación del ejercicio fiscal que se tendrá en cuenta para el cálculo de los ingresos y del patrimonio de la unidad familiar o de convivencia.
h) La indicación de los órganos competentes para la tramitación del procedimiento, con expresión, en su caso, de la existencia de Convenio de Cooperación con el ayuntamiento en cuyo término municipal radique la promoción.
i) La indicación del medio o lugar en los que se llevará a cabo la publicación de los restantes actos que se produzcan en el procedimiento de adjudicación.
j) La indicación, en su caso, de los municipios limítrofes en el supuesto al que se refiere el artículo 46 de este Decreto.
k) Número de personas integrantes de la lista de reserva a la que hace referencia el artículo 27 de este Decreto.
l) Plazo de presentación de la solicitud de participación.
m) Relación de documentación a presentar.
n) Indicación de que los modelos de solicitud de participación y de declaración responsable estarán disponibles en la sede electrónica, incorporados a la ficha del SICAC.
1. Iniciado el procedimiento de adjudicación mediante la resolución de la Dirección del Instituto Canario de la Vivienda a que se refiere el artículo anterior, se deberá presentar solicitud de participación en el procedimiento en el plazo que se establezca en el anuncio de la promoción.
2. La persona representante de la unidad familiar o de convivencia presentará la solicitud de participación a través de medios electrónicos, según los modelos que estarán disponibles en la sede electrónica de la Administración Pública de la Comunidad Autónoma de Canarias. También se podrá presentar mediante los restantes medios previstos en el artículo 16.4 de la Ley 39/2015, de 1 de octubre, del Procedimiento Administrativo Común de las Administraciones Públicas, o norma que la sustituya.
3. La presentación de la solicitud conllevará la autorización a la Administración para recabar los datos y documentos de otras administraciones que tengan por objeto acreditar el cumplimiento de los requisitos exigidos en la solicitud, salvo que el interesado se oponga expresamente o la ley especial aplicable requiera su consentimiento expreso. En este último caso, el modelo de solicitud posibilitará que la persona solicitante y el resto de miembros de la unidad familiar o de convivencia puedan autorizar expresamente al Instituto Canario de la Vivienda para la consulta de datos, especialmente los tributarios.
4. La solicitud de participación contendrá:
a) Los datos identificativos, fecha de nacimiento y estado civil de la persona solicitante y del resto de personas integrantes de la unidad familiar o de convivencia y, en su caso, el grado de parentesco existente entre ellas.
b) Identificación del medio electrónico, o en su defecto, el domicilio en que desea que se practique una eventual notificación personal. Adicionalmente, las personas interesadas podrán aportar su dirección de correo electrónico y/o dispositivo electrónico con el fin de avisarles del envío o puesta a disposición de la notificación.
c) Las autorizaciones u oposiciones a la consulta de datos que ya se encuentren en poder de la Administración actuante o hayan sido elaborados por cualquier otra Administración, según corresponda.
d) Indicación del cupo general o, en su caso, especial por el que se opte participar.
e) Cláusula sobre protección de datos personales.
5. Documentación a aportar junto con la solicitud:
a) Declaraciones responsables debidamente cumplimentadas en las que se haga constar:
a.1) El cumplimiento de los requisitos generales y particulares establecidos en el artículo 21 y en el Capítulo II de este título, respectivamente.
a.2) En su caso, el cumplimiento de los requisitos específicos para la integración de la solicitud en alguno de los cupos especiales previstos en el artículo 24.3 de este Decreto.
a.3) Las circunstancias objeto de baremación previstas en el Anexo 1, cuando se trate del régimen especial, o en el Anexo 2, cuando se trate del régimen general.
a.4) Los ingresos percibidos por todos los miembros de la unidad de convivencia en el ejercicio fiscal que determine la resolución de inicio del procedimiento de adjudicación, indicando la fuente de dichos ingresos.
Las declaraciones responsables deberán incluir, además, la manifestación de que se dispone de la documentación acreditativa correspondiente y que será puesta a disposición de la Administración cuando esta lo requiera. Los modelos normalizados estarán disponibles en la sede electrónica de la Administración Pública de la Comunidad Autónoma de Canarias.
b) Las autorizaciones u oposiciones a la consulta de datos que ya se encuentren en poder de la Administración actuante o hayan sido elaborados por cualquier otra Administración, según corresponda, de todas las personas integrantes de la unidad familiar o de convivencia mayores de edad, en su caso.
c) En el supuesto de falta de autorización u oposición expresa por parte de algún miembro de unidad familiar o de convivencia mayores de edad para la consulta de datos sobre los ingresos o sobre el patrimonio de la unidad familiar o de convivencia, se deberá aportar la siguiente documentación:
c.1) Certificado de la renta del ejercicio fiscal que determine la resolución de inicio del procedimiento de adjudicación, con código seguro de verificación, expedido por la Agencia Estatal de Administración Tributaria (AEAT), para todos los miembros de la unidad familiar que no hayan autorizado, sobre los siguientes extremos:
c.1.1) Para personas con obligación de presentar la declaración del Impuesto sobre la Renta de las Personas Físicas y aquellas que sin tener obligación la hayan realizado, las bases imponibles, general y de ahorro, las deducciones aplicadas a los rendimientos del trabajo y, en su caso, las posibles rentas exentas.
c.1.2) En el supuesto de personas que no tengan obligación de presentar la declaración del Impuesto sobre la Renta de las Personas Físicas, se aportarán los certificados negativos de renta, que incluyan las imputaciones que le constan a la AEAT.
c.2) Certificado de prestaciones percibidas de la Seguridad Social, en el caso de que la base imponible general y del ahorro de la declaración del IRPF sea cero o negativa.
c.3) Certificación catastral de los bienes inmuebles de las personas integrantes de la unidad familiar o de convivencia que no hayan autorizado la consulta.
6. La resolución a la que hace referencia el artículo 34 podrá modificar el contenido de la documentación a presentar.
Expirado el plazo de presentación de solicitudes, la persona titular de la Dirección del Instituto Canario de la Vivienda dictará resolución provisional con la relación de personas admitidas y excluidas, que se publicará en el lugar que se indique en el anuncio, indicando las causas de exclusión.
Las personas aspirantes excluidas y aquellas que, habiendo presentado solicitud de participación, no figuren en ninguna de las relaciones dispondrán de un plazo de diez días hábiles, contados a partir del siguiente al de la publicación de la resolución, para subsanar el defecto que haya motivado la exclusión o, en su caso, para alegar la omisión, en los términos del artículo 68 de la Ley 39/2015, de 1 de octubre, del Procedimiento Administrativo Común de las Administraciones Públicas, o norma que la sustituya. Si dentro del plazo establecido no subsanan el defecto que haya motivado la exclusión u omisión, serán definitivamente excluidas de la participación en el proceso de adjudicación por desistimiento.
Una vez estudiadas y valoradas las alegaciones presentadas, la persona titular de la Dirección del Instituto Canario de la Vivienda aprobará, mediante resolución que será publicada en el lugar que se indique en el anuncio, la relación definitiva de personas participantes admitidas y excluidas en el procedimiento de adjudicación de las viviendas, así como el número de viviendas a asignar a cada uno de los cupos.
1. Partiendo de la información obrante en los expedientes de las personas participantes admitidas en el procedimiento de adjudicación, se procederá a la elaboración de los listados de las personas participantes, distribuidas en cupos, por orden de puntuación, a los solos efectos de realizar el requerimiento de documentación regulado en el artículo siguiente. Estos listados se publicarán en el lugar que se establezca en el anuncio de la promoción de viviendas.
2. El orden de puntuación se determinará mediante la aplicación de los criterios establecidos en los anexos de este Decreto:
a) Anexo 1 para el régimen especial, exceptuando la aplicación del criterio del apartado 3.b).
b) Anexo 2 para el régimen general.
1. Una vez elaboradas y publicadas las listas recogidas en el artículo anterior, se requerirá a las personas que cuenten con la mayor puntuación, en un número equivalente al triple de viviendas a adjudicar en cada uno de los cupos, la documentación acreditativa del contenido de las declaraciones responsables presentadas por las personas participantes en el procedimiento de adjudicación. No se requerirá aquella documentación que ya obre en el expediente. Este requerimiento se publicará en el lugar que se establezca en el anuncio de la promoción de viviendas.
2. En aquellos casos en los que los documentos acreditativos a aportar se encuentren o hayan sido elaborados por una Administración Pública, el Instituto Canario de la Vivienda consultará o recabará, directamente, dichos documentos, salvo que haya oposición expresa de la persona interesada o no haya autorizado en los casos en que la ley especial aplicable requiera su consentimiento o autorización expresa.
3. Si la persona interesada ha prestado su consentimiento para que esta Administración realice las comprobaciones oportunas, pero la consulta de alguno de los requisitos no estuviera disponible en las redes corporativas, en las plataformas de intermediación de datos o en otros sistemas electrónicos habilitados al efecto, se estará a lo previsto en el artículo 61.2.b) del Reglamento de actuación y funcionamiento del sector público por medios electrónicos, aprobado por el Real Decreto 203/2021, de 30 de marzo, o norma que lo sustituya.
4. La documentación requerida será aportada en el plazo de diez días a contar desde el día siguiente a la notificación del requerimiento. La no aportación por parte de la persona interesada de la citada documentación en plazo determinará que se le tenga por desistida del procedimiento de adjudicación, previa resolución.
5. La documentación acreditativa será la enumerada en el artículo 47 del presente Decreto. No obstante, se podrá exigir cualquier otra documentación que fuera preceptiva por la normativa vigente en el momento en que se inicie el procedimiento de adjudicación.
6. En la resolución por la que se realice este requerimiento se consignará expresamente el cupo en el que provisionalmente se encuadra la persona participante en representación de su unidad familiar o de convivencia, sin perjuicio de los cambios que después puedan producirse como consecuencia de los actos de verificación y comprobación.
7. En dicho plazo las personas interesadas podrán presentar alegaciones respecto del cupo provisional en el que hubiesen sido encuadrados.
1. Una vez recabada la documentación a la que se refiere el primer apartado del artículo anterior, el órgano encargado de la tramitación del procedimiento procederá a su comprobación y verificación, realizando los actos de instrucción que para tal fin sean necesarios.
2. Se podrán recabar los informes sociales que se estimen oportunos para determinar la realidad social y la necesidad de vivienda declarada por la unidad familiar o de convivencia.
3. Será preciso la emisión de informe técnico cuando se haya alegado residir en una vivienda que no cumpla los requisitos mínimos de seguridad, accesibilidad universal y habitabilidad exigibles a la edificación, en los términos previstos por la normativa aplicable.
4. A la vista de lo que resulte de las actuaciones de comprobación de la documentación, el Instituto Canario de la Vivienda procederá a rectificar, en su caso, la puntuación de las personas demandantes requeridas.
5. Si, tras las actuaciones de verificación y comprobación de la documentación acreditativa del cumplimiento de los requisitos generales y específicos, en su caso, así como de las circunstancias objeto de baremación declaradas por las personas demandantes requeridas, no se cubrieran las viviendas a adjudicar o no pudiera completarse la lista de reserva, se procederá a requerir a las siguientes personas demandantes inscritas con mayor puntuación, en un número suficiente para completar la adjudicación de las viviendas y generar dicha lista.
1. Finalizada la fase de comprobación documental, se elaborará la relación de personas participantes que, dentro de cada uno de los cupos especiales establecidos, cuenten con mayor puntuación, hasta alcanzar el número de viviendas reservadas a cada uno de dichos cupos.
2. Las personas incluidas en cupos especiales que no hayan obtenido la puntuación necesaria para resultar adjudicatarias de una vivienda en dichos cupos pasarán a integrarse en el cupo general, en el lugar que les corresponda según la puntuación obtenida, salvo las incluidas en el cupo de unidades familiares o de convivencia que incluyan a personas con discapacidad con limitaciones graves o completas de movilidad que requieran el uso permanente de silla de ruedas u otros dispositivos técnicos de apoyo para la deambulación, que se integrarán en la lista de reserva conforme a lo dispuesto en el artículo 27.1 del presente Decreto.
3. A continuación, se elaborará la relación de personas participantes del cupo general con mayor puntuación, hasta alcanzar el número de viviendas asignadas a este cupo.
4. Las viviendas inicialmente asignadas a cupos especiales que resulten vacantes se incorporarán al cupo general, con excepción de aquellas viviendas adaptadas para personas con discapacidad con limitaciones graves o completas de movilidad que requieran el uso permanente de silla de ruedas u otros dispositivos técnicos de apoyo para la deambulación.
5. La adjudicación de las viviendas se efectuará atendiendo, además de a la puntuación obtenida en aplicación de los criterios de baremación, a la adecuación de las viviendas a la composición de la unidad familiar o de convivencia, conforme a lo dispuesto en el artículo 4 del presente Decreto.
Cuando no exista una vivienda adecuada para una unidad familiar o de convivencia seleccionada, esta pasará a integrar la lista de reserva, conservando el orden que le corresponda según la baremación.
En caso de agotarse las unidades inicialmente seleccionadas, se recurrirá a la lista de reserva, adjudicando las viviendas disponibles a las unidades que, por orden de puntuación, resulten adecuadas conforme al citado artículo 4. El procedimiento se repetirá sucesivamente hasta completar la adjudicación o agotar las posibilidades de adecuación.
6. Las viviendas adaptadas para personas con discapacidad con limitaciones graves o completas de movilidad que requieran el uso permanente de silla de ruedas u otros dispositivos técnicos de apoyo para la deambulación que queden sin adjudicar podrán ser objeto de adjudicación posterior, de conformidad con lo dispuesto en el artículo 48 del presente Decreto, relativo a Segundas y posteriores adjudicaciones.
Aplicados los criterios previstos en el artículo anterior, la persona titular del órgano competente del Instituto Canario de la Vivienda dictará propuesta provisional de resolución, en la que se propondrá:
a) La relación de personas adjudicatarias de vivienda protegida que, por contar con la mayor puntuación y con vivienda adecuada disponible, resulten adjudicatarias en los diferentes cupos, con indicación del cupo asignado y de la puntuación obtenida.
b) La relación de personas integrantes de la lista de reserva, ordenadas conforme a la puntuación obtenida.
c) La relación de personas participantes que no resultan adjudicatarias ni integrantes de la lista de reserva por no alcanzar la puntuación suficiente.
d) La relación de personas participantes que se consideran desistidas de su solicitud.
e) La relación de personas participantes excluidas por no cumplir los requisitos exigidos.
La propuesta provisional se publicará en el lugar señalado en el correspondiente anuncio y se concederá un trámite de audiencia a las personas interesadas, por un plazo de quince días, para que puedan formular alegaciones y presentar los documentos que estimen oportunos.
1. Examinadas las alegaciones formuladas en el trámite de audiencia, se dictará propuesta definitiva de resolución, que será sometida a informe de la Comisión de Vivienda. Emitido dicho informe, la persona titular de la Dirección del Instituto Canario de la Vivienda dictará resolución de adjudicación, frente a la cual las personas interesadas podrán interponer recurso de alzada ante la persona titular de la Presidencia del Instituto Canario de la Vivienda, en el plazo de un mes contado desde el día siguiente al de su notificación.
La resolución será objeto de publicación en el lugar señalado en el anuncio de inicio del procedimiento.
2. Las propuestas provisional y definitiva de adjudicación no generarán derecho alguno frente a la Administración a favor de las personas propuestas.
3. El plazo para resolver y notificar la resolución de adjudicación no podrá exceder de 6 meses.
4. El transcurso del plazo máximo para resolver sin haberse notificado resolución expresa producirá efectos desestimatorios por silencio administrativo en la solicitud de participación en el procedimiento de adjudicación.
5. La interposición del recurso no suspenderá la tramitación ni los efectos del procedimiento de adjudicación.
1. La efectividad de la resolución de adjudicación quedará condicionada al cumplimiento, por parte de la persona adjudicataria, de los siguientes requisitos:
a) Suscripción del correspondiente contrato.
b) Entrega de las cantidades que correspondan en concepto de fianza, en caso de adjudicación de vivienda de promoción pública en régimen general.
c) Aportación de la póliza de seguros prevista en la letra ñ) del apartado 1 del artículo 77 de este Decreto.
d) Efectiva ocupación de la vivienda adjudicada en el plazo de un mes desde la firma del contrato de arrendamiento.
2. El plazo para la suscripción del contrato se fijará en la resolución de adjudicación, supeditándose su formalización a la previa aportación de la documentación indicada en la letra c) del apartado anterior y, cuando proceda, la indicada en la letra b).
La Administración procederá a la entrega de llaves en el plazo máximo de quince días hábiles desde la fecha de suscripción del contrato, debiendo la persona adjudicataria ocupar efectivamente la vivienda dentro del plazo establecido en la letra d) del apartado 1.
Desde el momento de la entrega de las llaves, la persona adjudicataria deberá custodiar las mismas con la debida diligencia y adoptar las medidas necesarias para impedir accesos no autorizados a la vivienda hasta su efectiva ocupación.
Producida esta, la persona arrendataria asumirá plenamente las obligaciones de conservación, mantenimiento y uso adecuado de la vivienda conforme a la normativa aplicable y al contrato de arrendamiento.
3. El incumplimiento de cualquiera de las condiciones de los apartados anteriores impedirá la eficacia de la resolución de adjudicación y determinará la pérdida del derecho a la misma, previa comprobación de los hechos y, en su caso, audiencia de la persona interesada, pudiendo prescindirse de dicho trámite cuando concurran las circunstancias previstas en el artículo 82.4 de la Ley 39/2015, de 1 de octubre, o norma que la sustituya.
En caso de incumplimiento de la obligación prevista en la letra d) del apartado 1, la persona adjudicataria deberá devolver las llaves de la vivienda, salvo concurrencia de causa de fuerza mayor debidamente justificada. En caso de no producirse dicha devolución, se iniciará el procedimiento para la recuperación posesoria de la vivienda.
4. Determinada la pérdida del derecho a la adjudicación, se procederá a realizar una nueva adjudicación conforme a lo previsto en el artículo 41 de este Decreto, a favor de la siguiente persona integrante de la lista de reserva, según el orden de puntuación obtenido.
5. En el supuesto de que se hubiese dejado sin efecto la adjudicación de una vivienda adaptada del cupo de unidades familiares o de convivencia que incluyan a personas con discapacidad con limitaciones graves o totales de movilidad que requieren el uso permanente de silla de ruedas u otros dispositivos técnicos de apoyo para la deambulación, la nueva adjudicación se efectuará a favor de la persona con mayor puntuación en dicho cupo. De no existir más integrantes que reúnan los requisitos de adecuación, se estará a lo dispuesto en el artículo 41.6 de este Decreto, remitiéndose el caso al procedimiento previsto en el artículo 48 de este Decreto para las Segundas y posteriores adjudicaciones.
En los casos en que el número de viviendas a adjudicar sea igual o superior al número de participantes en el procedimiento, las viviendas se adjudicarán de forma directa, sin necesidad de baremar las solicitudes de participación, sin perjuicio de la comprobación de los requisitos generales y específicos, en su caso, para ser integrados en los cupos especiales, y rigiendo el procedimiento de adjudicación por el sistema de baremación en lo que sea de aplicación.
1. Una vez asignadas las viviendas en un procedimiento de adjudicación directa de una promoción ubicada en un municipio con una población igual o inferior a 20.000 habitantes, las viviendas excedentes serán adjudicadas por el procedimiento de baremación establecido en este Decreto entre las personas demandantes inscritas en los municipios limítrofes a aquel en el que radique la promoción que cuenten con una población igual o inferior a 20.000 habitantes.
2. Será requisito para participar en la adjudicación de estas viviendas estar empadronado o trabajar en alguno de los citados municipios limítrofes, no siendo de aplicación el requisito de estar empadronado o trabajar en el municipio en el que se ubique la promoción de viviendas.
3. Agotado el excedente, la lista de reserva quedará sin efecto una vez Finalizado el procedimiento.
La documentación que debe obrar en el expediente del procedimiento de adjudicación para cada unidad familiar o de convivencia es la siguiente:
1. Documentación que debe presentar necesariamente la persona solicitante.
a) Libro de Familia o documento oficial sustitutivo.
b) Contrato de alquiler y último recibo acreditativo del pago de la renta arrendaticia, en su caso.
c) Documentación acreditativa de la custodia compartida, en su caso, que podrá consistir en sentencia de separación o divorcio con convenio regulador en caso de matrimonio o parejas de hecho.
d) Declaración responsable de los ingresos percibidos por la unidad familiar o de convivencia en el ejercicio fiscal que establezca el anuncio de la promoción al que hace referencia el artículo 34 del presente Decreto, con indicación expresa del origen de dichos ingresos (pensión de jubilación, de viudedad, Ingreso Mínimo Vital, etc.), firmada por la persona representante de dicha unidad familiar o de convivencia (solo para régimen especial).
2. Documentación que depende de circunstancias específicas.
a) Informe de vida laboral, contrato laboral u otra documentación acreditativa, cuando la persona participa por estar su centro de trabajo en el municipio donde se ubica la vivienda protegida que demanda.
b) Certificado acreditativo de la condición de emigrante retornado, en su caso, conforme a lo dispuesto en el artículo 11 del Real Decreto 625/1985, de 2 de abril, por el que se desarrolla la Ley 31/1984, de 2 de agosto, de Protección por Desempleo, o norma que lo sustituya.
c) Documentación acreditativa de la condición de víctima de violencia de género, en su caso. Dicha documentación estará a lo establecido en la Ley Orgánica 1/2004, de 28 de diciembre, de Medidas de Protección Integral contra la Violencia de Género, o norma que la sustituya.
d) Documentación acreditativa bancaria o judicial de procesos de desahucio judicial o lanzamiento de su vivienda habitual, en su caso. Dichos procesos se referirán a los últimos doce meses anteriores al inicio del procedimiento de adjudicación.
e) Informe social, en su caso, emitido por la Administración competente para acreditar las situaciones de vulnerabilidad, así como situaciones de exclusión social, que incluya, cuando proceda, situaciones de infravivienda o sinhogarismo, para régimen especial.
f) Informe, en su caso, emitido por técnico competente acreditativo de las deficientes condiciones de habitabilidad o hacinamiento de la vivienda habitual de la unidad familiar o de convivencia, así como de falta de accesibilidad de la vivienda en el supuesto del artículo 22.3.c) del presente Decreto.
g) Declaración legal de ruina de la vivienda, en su caso (solo admisible para régimen especial).
h) Acreditación de la convivencia con otras unidades familiares, mediante cualquier medio de prueba admisible en derecho.
i) Documentación acreditativa de la situación de menor de veinticinco años que hubiese estado bajo la guarda o tutela de la Comunidad Autónoma de Canarias, en su caso.
j) Acreditación de que la unidad de convivencia es beneficiaria de una solución habitacional temporal, en su caso. A estos efectos se aportará cualquier medio de prueba admisible en derecho, incluyendo al menos resolución administrativa o contrato.
k) Acreditación de la condición de familia monoparental, en su caso. A estos efectos, se aportará libro de familia y/o sentencia judicial.
l) Acreditación de la condición de víctima de terrorismo, en su caso. A estos efectos, se aportará certificado oficial como víctima de terrorismo expedido por el Ministerio del Interior.
m) Acreditación de la condición de víctima de trata de seres humanos o de un delito de odio, en su caso. A los efectos de acreditar ser víctima de trata, se aportará documento de acreditación administrativa de la condición de víctima de trata de seres humanos y/o explotación sexual emitido por órgano u organismo competente. A efectos de acreditar la condición de víctima de un delito de odio, se aportará informe policial o sentencia judicial que detalle los hechos denunciados y confirme la existencia de un delito de odio.
n) Acreditación de la condición de menor emancipado, en su caso.
ñ) Informe, en su caso, emitido por un especialista del sistema público de salud, que prescriba la necesidad de disponer de dormitorio individual, a los efectos de justificar la circunstancia prevista en el artículo 4.1.c) de este Decreto.
3. Datos o documentos que recabará la Administración.
La Administración recabará de oficio, a través de sus redes corporativas o de las plataformas de intermediación de datos u otros sistemas electrónicos habilitados al efecto, los datos o documentos que se encuentren disponibles, salvo que la persona interesada manifieste oposición expresa o no conste su autorización cuando una ley especial requiera consentimiento expreso. En caso de oposición o falta de autorización, se deberá aportar la siguiente documentación:
a) El documento acreditativo de la identidad de la persona representante y de los demás integrantes de la unidad familiar (DNI, NIE o pasaporte).
b) El certificado de empadronamiento histórico y colectivo, en el que consten las personas integrantes de la unidad familiar o de convivencia en el momento o periodo que se establezca como referencia para el cumplimiento de los requisitos en el anuncio de la promoción a que se refiere el artículo 34 del presente Decreto, y que acredite, asimismo, el tiempo de residencia en la Comunidad Autónoma de Canarias.
c) Certificado de prestaciones percibidas de la Seguridad Social, en el caso de que la base imponible general y del ahorro de la declaración del IRPF sea cero o negativa.
d) Para cada miembro de la unidad familiar o de convivencia mayor de edad que no haya autorizado la consulta sobre los ingresos o sobre el patrimonio, deberá aportar la siguiente documentación:
d.1) Certificado de la renta del último ejercicio fiscal vencido en el momento de presentar la solicitud de participación, con código seguro de verificación, expedido por la Agencia Estatal de Administración Tributaria (AEAT), para todos los miembros de la unidad familiar o de convivencia mayores de edad que no hayan autorizado, sobre los siguientes extremos:
d.1.1) Para personas con obligación de presentar la declaración del Impuesto sobre la Renta de las Personas Físicas y aquellas que, sin tener obligación la hayan realizado, las bases imponibles, general y del ahorro, las deducciones aplicadas a los rendimientos del trabajo y, en su caso, las posibles rentas exentas.
d.1.2) En el supuesto de personas que no tengan obligación de presentar la declaración del Impuesto sobre la Renta de las Personas Físicas, se aportarán los certificados negativos de renta, que incluyan las imputaciones que le constan a la AEAT.
e) Certificación catastral descriptiva y gráfica de los bienes inmuebles de todas las personas integrantes de la unidad familiar.
f) Documentación acreditativa de circunstancias específicas.
g) Título oficial de reconocimiento de la condición de familia numerosa, en su caso.
h) Documento acreditativo del reconocimiento del grado de discapacidad de las personas integrantes de la unidad familiar o de convivencia, en su caso.
i) Documento acreditativo de reconocimiento de la situación de dependencia de las personas integrantes de la unidad familiar o de convivencia, en su caso.
4. Determinación de los documentos consultables y tabla de referencia.
La relación de documentos que la Administración puede consultar a través de las plataformas de intermediación de datos dependerá de los servicios efectivamente disponibles en el Catálogo de Servicios de Verificación y Consulta de Datos.
El Anexo 3 de este Decreto incluye una tabla en la que, para cada requisito o circunstancia relativos a la adjudicación de viviendas protegidas de promoción pública, se especifica la documentación necesaria para acreditarlo, así como la indicación de si debe ser aportada por la persona interesada o puede ser objeto de consulta administrativa.
En todo caso, en la aportación de documentos se estará a lo previsto en el artículo 28 de la Ley 39/2015, de 1 de octubre, o norma que la sustituya.
1. Las viviendas protegidas de promoción pública, tanto en régimen especial como general, que hayan quedado vacantes tras un procedimiento de Primera adjudicación, o hayan sido liberadas por renuncia, fallecimiento sin derecho a subrogación, desahucio u otra causa, serán objeto de adjudicación mediante un procedimiento administrativo distinto al previsto para la Primera adjudicación, denominado procedimiento de Segundas o posteriores adjudicaciones.
Dichas viviendas se adjudicarán, en primer lugar, a las personas integrantes de la lista de reserva vigente correspondiente a la promoción en que se ubiquen, por orden de puntuación y siempre que la vivienda resulte adecuada a la composición de la unidad familiar o de convivencia conforme al artículo 4 del presente Decreto.
2. En el caso de viviendas adaptadas para personas con un grado de discapacidad igual o superior al 65%, que precisen de ayudas técnicas o del apoyo permanente de una Tercera persona para su desplazamiento habitual, conforme a lo establecido en el Real Decreto 888/2022, de 18 de octubre, o norma que lo sustituya, se deberá comprobar que la unidad familiar o de convivencia cumple los requisitos específicos para ser adjudicataria de las mismas, tanto en régimen especial como general.
3. Cuando no exista lista de reserva para la promoción correspondiente, pero sí para otra promoción ubicada en el mismo municipio, la vivienda podrá ofertarse a las personas integrantes de estas últimas listas, por orden de puntuación, previa comunicación sobre su localización. La no aceptación de esta oferta no conllevará la pérdida de la posición en la lista de reserva original.
4. Independientemente de que haya lista de reserva, ya sea en régimen especial o general, si existieran propuestas de unidades familiares o de convivencia en las que concurran circunstancias de extrema y urgente necesidad de vivienda, la adjudicación se realizará de acuerdo a lo dispuesto en el artículo 49 del presente Decreto.
5. De no existir lista de reserva ni propuestas de adjudicación directa conforme al citado artículo 49, se acudirá a las personas demandantes inscritas en el Registro Público de Demandantes de Vivienda Protegida de Canarias, siguiendo el orden de puntuación que resulte de la aplicación de los criterios establecidos en los Anexos 1 o 2, según el régimen de protección correspondiente, previa comprobación de los datos inscritos.
6. Toda adjudicación se formalizará mediante resolución motivada de la persona titular de la Dirección del Instituto Canario de la Vivienda, en la que se harán constar expresamente las razones que justifican la adjudicación, así como la verificación del cumplimiento de los requisitos exigidos por el presente Decreto en función del régimen aplicable.
7. Cuando el procedimiento se inicie a solicitud de la persona interesada, el transcurso del plazo máximo para resolver sin haberse notificado resolución expresa producirá efectos desestimatorios por silencio administrativo.
8. En los casos de procedimientos individualizados de adjudicación las eventuales notificaciones serán personales de acuerdo con lo dispuesto en la normativa vigente.
1. Las viviendas protegidas de promoción pública que queden vacantes podrán adjudicarse directamente, en el marco del procedimiento de Segundas o posteriores adjudicaciones, cuando concurra alguno de los siguientes supuestos:
a) No exista lista de reserva vigente correspondiente a la promoción de que se trate.
b) Aun existiendo lista de reserva, se acredite una situación de extrema y urgente necesidad habitacional en una unidad familiar o de convivencia que cumpla los requisitos generales de acceso y, una vez baremada conforme al Anexo 1 o 2 del presente Decreto, según el régimen de protección aplicable, obtenga una puntuación superior a la persona que ocupe el primer lugar en dicha lista.
c) Concurra una situación de extrema y urgente necesidad habitacional en una unidad familiar o de convivencia incluida en el supuesto del artículo 26 del presente Decreto. En caso de existir lista de reserva, la adjudicación requerirá la correspondiente baremación de conformidad con la letra b) anterior.
En los supuestos contemplados en las letras b) y c) de este apartado, si la baremación de la persona incluida en la lista de reserva tuviera más de un año de antigüedad, se procederá a su actualización con arreglo a los criterios vigentes, incluyendo la adecuación tipológica de la vivienda conforme al artículo 4 del presente Decreto.
2. Las adjudicaciones directas podrán efectuarse a iniciativa del ayuntamiento en cuyo término municipal se ubique la vivienda o de oficio por el Instituto Canario de la Vivienda. En ambos casos, será preceptiva la incorporación de un informe motivado que acredite la situación de necesidad y justifique la propuesta.
3. Cuando la propuesta emane del ayuntamiento, deberá acompañarse de la documentación acreditativa del cumplimiento de lo previsto en el apartado 1. En ningún caso tendrá carácter vinculante para el Instituto Canario de la Vivienda.
4. Si no existieran unidades familiares o de convivencia en situación de necesidad urgente en el municipio de la vivienda vacante, el Instituto Canario de la Vivienda podrá proponer su adjudicación a demandantes de otros municipios, priorizando los limítrofes dentro de la misma isla, conforme al procedimiento previsto en este artículo.
5. Verificados los requisitos de adjudicación conforme al presente Decreto, la Dirección del Instituto Canario de la vivienda dictará resolución motivada adjudicando la vivienda vacante. En caso de adjudicación temporal conforme al artículo 26, se hará constar expresamente tal modalidad en la resolución.
6. Cuando el procedimiento se inicie a solicitud de persona interesada, el transcurso del plazo máximo para resolver sin haberse notificado resolución expresa producirá efectos desestimatorios por silencio administrativo.
1. En caso de que, con ocasión de una actuación de reposición de viviendas protegidas, se proceda a la construcción de una nueva edificación, las personas adjudicatarias de las viviendas objeto de reposición pasarán a serlo respecto de las nuevas viviendas, manteniéndose las mismas condiciones jurídicas que ostentaban respecto de las viviendas que han de ser repuestas.
2. Cuando existan viviendas vacantes como consecuencia de una actuación de reposición, y se encuentre en tramitación en el mismo término municipal un procedimiento de adjudicación de una promoción de viviendas protegidas de nueva construcción, dichas viviendas se incorporarán a dicho procedimiento. En caso de no existir promociones en trámite de adjudicación en el citado término municipal, las viviendas vacantes se adjudicarán conforme a lo previsto en los artículos 48 o 49 del presente Decreto.
1. En el caso de adquisición de promociones de viviendas completas por el Instituto Canario de la Vivienda, la adjudicación de estas se realizará conforme a lo establecido en la Sección 1.ª de este capítulo, para la adjudicación de viviendas protegidas de promoción pública.
2. Las viviendas aisladas se acumularán al procedimiento de adjudicación de la promoción de viviendas protegidas de nueva construcción que existiese en el término municipal de la promoción en el momento de la adquisición. De no existir promoción en el término municipal, las viviendas aisladas se adjudicarán según lo previsto en los artículos 48 o 49 de este Decreto, según proceda.
3. Con carácter previo a la adjudicación, el Instituto Canario de la Vivienda realizará los trámites oportunos para calificar dichas viviendas como protegidas de promoción pública de régimen especial o general.
1. Las viviendas protegidas de promoción pública en régimen especial podrán cederse en precario a personas jurídicas públicas o privadas sin ánimo de lucro para su uso como pisos tutelados.
Dicha cesión se efectuará de acuerdo con las previsiones contenidas en la normativa sectorial de aplicación. Será acordada por la persona titular de la Dirección del Instituto Canario de la Vivienda e incluirá un pliego de condiciones que regirá dicha cesión.
2. Con carácter general se reservará un piso tutelado en aquellas promociones de más de treinta viviendas. Sin embargo, no se reservará piso tutelado alguno en dichas promociones cuando el ayuntamiento del municipio donde se ubique la promoción justifique que, en su municipio, está cubierta la necesidad de pisos tutelados. En el supuesto de que la propuesta municipal abogue por más de un piso tutelado por cada treinta viviendas, será potestativa la aceptación de la misma, pero el Instituto Canario de la Vivienda deberá emitir informe justificativo de su decisión.
3. La cesión de las viviendas reservadas para su destino como pisos tutelados podrá acordarse mediante la resolución de adjudicación a que se refiere el artículo 43 del presente Decreto. Si transcurre un plazo superior a un mes desde la publicación de dicha resolución sin que se haya presentado ante el Instituto Canario de la Vivienda solicitud alguna de cesión, la vivienda será adjudicada a la siguiente unidad familiar o de convivencia incluida en la lista de reserva, conforme al procedimiento previsto en el artículo 48 de este Decreto. En caso de que no exista lista de reserva o esta se encuentre agotada, la adjudicación se efectuará de acuerdo con lo dispuesto en el artículo 49 del presente Decreto. En ambos casos, la vivienda deberá ser adecuada a las características de la unidad familiar o de convivencia conforme a lo dispuesto en el artículo 4 del presente Decreto.
1. Una vez publicada la resolución de adjudicación se procederá a la formalización del contrato con la persona adjudicataria, para lo cual, con carácter previo, se deberá aportar la póliza de seguros a la que hace referencia la letra ñ) del apartado 1 del artículo 77 del presente Decreto y, en caso de tratarse de la adjudicación de vivienda de promoción pública de régimen general, efectuar el previo depósito de la fianza correspondiente conforme a lo dispuesto en la legislación sobre arrendamientos urbanos. Los adjudicatarios de viviendas de promoción pública de régimen especial quedarán exentos de la prestación de la citada garantía.
2. Si una vez producida la adjudicación y, en un momento anterior a la suscripción del contrato, falleciera o desistiera expresa o tácitamente la persona adjudicataria, podrán subrogarse en dicha condición y, por tanto, formalizar el correspondiente contrato, las personas integrantes de la unidad familiar o de convivencia, aplicándose, en su caso, el orden de prelación establecido en el artículo 59 de este Decreto.
1. La formalización del contrato de arrendamiento será trámite previo e indispensable para la entrega de las llaves de la vivienda.
2. El contrato de arrendamiento contendrá como mínimo las siguientes menciones:
a) Identificación de las partes suscriptoras, lugar y fecha de su celebración.
b) Datos identificativos de la vivienda, con indicación de su ubicación y características físicas.
c) Datos identificativos de todos los miembros de la unidad familiar o de convivencia, con la obligación de comunicar cualquier cambio de su composición. Dicha modificación se hará constar en el contrato mediante diligencia con expresión de la fecha de incorporación o baja de las personas integrantes de dicha unidad.
d) Calificación de la vivienda como vivienda protegida de promoción pública de régimen especial o general, según corresponda, en arrendamiento, fecha y duración del régimen de protección.
e) Que la efectividad del contrato queda sometida a la condición suspensiva de ocupar la vivienda en el plazo de un mes a partir de la fecha en la que tenga lugar la entrega de las llaves.
f) Obligaciones de la persona arrendataria y de los demás miembros de la unidad familiar o de convivencia enumeradas en el artículo 77.1 de este Decreto.
g) Renta inicial y forma de pago. La renta inicial se determinará de conformidad con lo dispuesto en el Decreto 1/2004, de 13 de enero, por el que se establece el precio máximo de venta y la renta máxima inicial anual de las viviendas protegidas de promoción pública, o norma que lo sustituya.
h) Tiempo de duración del contrato y régimen de prórroga. En el supuesto de vivienda provisional se estará a lo previsto en el artículo 26 del presente Decreto.
i) Cuota anual de comunidad correspondiente al primer año.
j) Las autorizaciones u oposiciones a la consulta de datos que ya se encuentren en poder de la Administración actuante o hayan sido elaborados por cualquier otra Administración, según corresponda, de todas las personas integrantes de la unidad familiar mayores de edad, en su caso.
1. La duración inicial del contrato de arrendamiento de las viviendas protegidas de promoción pública, salvo el referido a vivienda de adjudicación temporal, será de cinco años, sin perjuicio de que el mismo pueda ser prorrogado sucesivamente por periodos de tres años, siempre que llegada la fecha de vencimiento del contrato o de cada una de las prórrogas otorgadas, ninguna de las partes hubiese comunicado, con al menos un mes de antelación, la intención de no renovarlo.
2. El Instituto Canario de la Vivienda verificará, con una antelación mínima de seis meses respecto de la fecha prevista de vencimiento del contrato, ya sea del periodo inicial o de cualquiera de sus prórrogas, el cumplimiento de los requisitos establecidos en el artículo 21 y en el Capítulo II del presente título, con excepción del relativo a la inscripción en el Registro Público de Demandantes de Vivienda Protegida de Canarias.
Dicha verificación se efectuará, preferentemente, mediante la consulta de datos, previa autorización o no oposición de todas las personas integrantes de la unidad familiar o de convivencia. En su defecto, podrá realizarse mediante requerimiento dirigido a la persona adjudicataria.
Asimismo, se comprobará que la vivienda se destina efectivamente a domicilio habitual y permanente.
La acreditación del cumplimiento de los requisitos deberá referirse a la situación existente siete meses antes de la fecha prevista de Finalización del contrato o de cualquiera de sus prórrogas, salvo en lo relativo a los ingresos de la unidad familiar, que se calcularán conforme a los datos correspondientes al último ejercicio fiscal cerrado a la fecha de la verificación o del requerimiento y de acuerdo a lo dispuesto en el artículo 3 de este Decreto.
3. Si la persona adjudicataria no acreditase el cumplimiento de los requisitos indicados en el apartado anterior de este artículo, se acordará, previa audiencia, la no renovación del contrato de arrendamiento, concediéndole el plazo de un mes a partir de la notificación de la correspondiente resolución para que proceda a la entrega de las llaves de la vivienda, bajo apercibimiento de desahucio.
1. Además de lo dispuesto en el apartado 3 del artículo anterior, no procederá la renovación o prórroga del contrato de arrendamiento en aquellos casos en los que se constate la concurrencia de alguna de las causas determinantes del desahucio administrativo, previstas en la Ley 2/2003, de 30 de enero, de Vivienda de Canarias, o norma que la sustituya.
2. Asimismo, y sin perjuicio de la apreciación de las infracciones o causas determinantes de desahucio administrativo previstas en la citada Ley de Vivienda de Canarias, el contrato de arrendamiento de una vivienda protegida podrá resolverse, además de por las causas recogidas en la legislación sobre arrendamientos urbanos, por cualquiera de las siguientes:
a) El subarriendo, total o parcial, de la vivienda adjudicada, así como su cesión por parte de la persona adjudicataria, incluso a título gratuito.
b) El uso de la vivienda para un fin distinto al de domicilio habitual y permanente de la unidad familiar o de convivencia, sin la correspondiente autorización administrativa.
c) El transcurso del plazo máximo de desocupación temporal autorizado conforme al artículo 78 de este Decreto, incluidas, en su caso, las prórrogas, sin haber vuelto a ocupar la vivienda.
d) La inexistencia de personas con derecho a subrogarse, conforme a lo previsto en el artículo 59 del presente Decreto, tras el fallecimiento de la persona arrendataria.
e) El desistimiento del contrato de arrendamiento, conforme a lo dispuesto en el artículo siguiente.
f) La formalización de una nueva adjudicación de vivienda, de acuerdo con lo establecido en el artículo 60 del presente Decreto.
1. En los supuestos en que la persona titular del contrato de arrendamiento de una vivienda de promoción pública renuncie expresamente a continuar con el mismo, o lo haga de forma tácita mediante el abandono de la vivienda, podrá subrogarse en su posición la persona cónyuge o quien hubiera convivido con la titular en análoga relación de afectividad, siempre que ostente la condición de persona beneficiaria de la adjudicación.
A los efectos del presente Decreto, se entenderá por persona beneficiaria de la adjudicación tanto a la persona titular del contrato de arrendamiento mediante el cual se haya formalizado la adjudicación, como a las demás personas integrantes de la unidad familiar o de convivencia en el momento en que esta se hubiera producido.
Asimismo, tendrán la condición de personas beneficiarias de la adjudicación los descendientes que acrediten haber residido de forma ininterrumpida en la vivienda desde su nacimiento o adopción.
2. En su defecto, podrán subrogarse en la posición de la persona arrendataria las demás personas mayores de edad integrantes de la unidad familiar o de convivencia que tuviesen la condición de beneficiarias de la adjudicación como descendientes, ascendientes, hermanos o parientes de la persona arrendataria hasta el tercer grado colateral, siempre que, en este último caso, se encuentren en situación de discapacidad con un grado reconocido igual o superior al 65%. La subrogación deberá solicitarse mediante petición de cambio de titularidad dirigida al Instituto Canario de la Vivienda y requerirá acreditar la convivencia ininterrumpida en la vivienda desde la fecha de la adjudicación, así como el cumplimiento, en la fecha de la subrogación, de los requisitos establecidos en el artículo 21 y en el Capítulo II de este Título III, diferenciando entre los previstos en la Sección 1.ª para el régimen especial y los establecidos en la Sección 2.ª para el régimen general.
Si concurriesen varias de las personas mencionadas, a falta de acuerdo, se seguirá el orden de prelación previsto en los apartados 1 y 2 del artículo 16 de la Ley de Arrendamientos Urbanos, o norma que la sustituya.
3. De no residir en la vivienda ningún miembro de la unidad familiar o de convivencia que ostentase la condición de persona beneficiaria de la adjudicación, podrá subrogarse la persona cónyuge de la arrendataria que no hubiera formado parte la unidad familiar o de convivencia beneficiaria de la adjudicación, o la persona que hubiera convivido con la arrendataria de forma permanente en análoga relación de afectividad a la conyugal, siempre que conste su inscripción en el Registro de Parejas de Hecho o, en su defecto, exista descendencia común. En ambos casos se exigirá una convivencia con la persona arrendataria durante al menos los dos años anteriores al desistimiento o abandono La subrogación requerirá acreditar el cumplimiento, en la fecha en que se solicite, de los requisitos establecidos en el artículo 21 y en el Capítulo II de este Título III, diferenciando entre los previstos en la Sección 1.ª para el régimen especial y los establecidos en la Sección 2.ª para el régimen general.
4. En su defecto, y previo informe del centro directivo competente en materia de protección al menor y/o de la familia, podrá subrogarse en la titularidad de la vivienda el menor que se encuentre en situación de acogimiento preadoptivo por parte de la persona titular de la vivienda.
5. También podrán subrogarse las personas mencionadas en el apartado 2 de este artículo que, aun no ostentando la condición de beneficiarias de la adjudicación, acrediten haber convivido de forma ininterrumpida con la persona arrendataria durante, al menos, los diez años anteriores al desistimiento o renuncia. La subrogación exigirá asimismo acreditar el cumplimiento, en la fecha en que se solicite, de los requisitos establecidos en el artículo 21 y en el Capítulo II de este Título III, diferenciando entre los previstos en la Sección 1.ª para el régimen especial y los establecidos en la Sección 2.ª para el régimen general.
6. Si concurrieran varias de las personas mencionadas y no existiera acuerdo entre ellas, la subrogación se resolverá conforme al orden de prelación establecido en los apartados 1 y 2 del artículo 16 de la Ley de Arrendamientos Urbanos, o en la norma que la sustituya.
7. La subrogación deberá solicitarse mediante escrito dirigido al Instituto Canario de la Vivienda en el plazo máximo de seis meses a contar desde la fecha en que se produzca la renuncia o el abandono. Este último se acreditará mediante cualquier medio de prueba admisible en derecho.
8. Será inadmitida la solicitud que se presente fuera del citado plazo. La Administración dispondrá de un plazo máximo de tres meses para dictar y notificar la resolución correspondiente; transcurrido dicho plazo sin que haya recaído resolución expresa, la solicitud se entenderá estimada por silencio administrativo. A efectos del cómputo de dicho plazo, no se tendrá en cuenta el periodo en que el procedimiento se encuentre paralizado por causa imputable a la persona solicitante.
9. El otorgamiento de la subrogación estará condicionado, entre otros requisitos, a que la unidad familiar o de convivencia se encuentre al corriente en el pago de la renta arrendaticia, así como en el abono de las cuotas correspondientes a los gastos comunes del edificio. El cumplimiento de esta obligación constituye un requisito necesario, sin que por sí solo determine el reconocimiento automático de la subrogación, que quedará supeditado a la concurrencia del resto de condiciones exigidas por el presente Decreto.
1. En los casos de separación, divorcio, nulidad del matrimonio o disolución de la pareja de hecho, la persona cónyuge o persona en análoga relación de afectividad que, formando parte de la unidad familiar beneficiaria, le hubiese sido atribuido por sentencia judicial el uso y disfrute de la vivienda, podrá solicitar del Instituto Canario de la Vivienda el cambio de titularidad en el contrato de arrendamiento, sin perjuicio de que en virtud de posterior resolución judicial se modifiquen las medidas adoptadas.
Si no ostentase la condición de persona beneficiaria de la adjudicación podrá solicitar igualmente el cambio de titularidad, previa acreditación de los requisitos establecidos en el artículo 21 y en el Capítulo II de este Título III, diferenciando entre los previstos en la Sección 1.ª para el régimen especial y los establecidos en la Sección 2.ª para el régimen general.
2. Para lo no previsto en el apartado anterior se estará a lo que determine la resolución judicial en relación al uso y disfrute de la vivienda.
3. La solicitud de cambio de titularidad deberá presentarse dentro del plazo establecido en el apartado 7 del artículo 57 del presente Decreto, contado desde la fecha de la resolución judicial firme que atribuya el uso y disfrute de la vivienda. Será igualmente de aplicación lo dispuesto en los apartados 8 y 9 del citado artículo.
1. En el caso de fallecimiento de la persona titular del contrato de arrendamiento, la persona cónyuge o persona que hubiese convivido con la titular en análoga relación de afectividad a la de cónyuge, y que ostentase la condición de beneficiaria de la adjudicación, podrá subrogarse en la posición de aquella mediante solicitud de cambio de titularidad dirigida al Instituto Canario de la Vivienda.
En su defecto, las demás personas integrantes de la unidad familiar que también ostentasen la condición de beneficiarias de la adjudicación, citadas en el artículo 57 del presente Decreto, podrán subrogarse en la posición de aquella, mediante solicitud de cambio de titularidad dirigida al Instituto Canario de la Vivienda, siempre que acrediten la convivencia en la vivienda con la persona titular fallecida durante los dos años precedentes a su fallecimiento o, si no hubiese transcurrido ese periodo de tiempo, de manera ininterrumpida desde la adjudicación, y que reúnen a la fecha de la subrogación los requisitos establecidos en el artículo 21 y en el Capítulo II de este Título III, diferenciando entre los previstos en la Sección 1.ª para el régimen especial y los establecidos en la Sección 2.ª para el régimen general.
Si concurrieran varias de las personas mencionadas y no existiera acuerdo entre ellas, la subrogación se resolverá conforme al orden de prelación establecido en los apartados 1 y 2 del artículo 16 de la Ley de Arrendamientos Urbanos, o en la norma que la sustituya.
2. De no residir en la vivienda ninguna persona integrante de la unidad familiar beneficiaria de la adjudicación, podrá subrogarse la persona cónyuge de la arrendataria que no hubiera formado parte de dicha unidad familiar beneficiaria, o la persona que hubiera convivido con la arrendataria de forma permanente en análoga relación de afectividad a la conyugal siempre que existiera descendencia común o conste su inscripción conjunta en el Registro de Parejas de Hecho. En ambos supuestos se exigirá una convivencia con la persona arrendataria durante, al menos, los dos años anteriores al fallecimiento.
La subrogación requerirá acreditar el cumplimiento, en la fecha en que se solicite, de los requisitos establecidos en el artículo 21 y en el Capítulo II de este Título III, distinguiéndose entre los previstos en la Sección 1.ª para el régimen especial y los establecidos en la Sección 2.ª para el régimen general.
3. A falta de las personas mencionadas en los apartados precedentes, podrán igualmente subrogarse los miembros de la unidad familiar que sean descendientes, ascendientes, hermanos o parientes de la persona arrendataria hasta el tercer grado colateral, siempre que, en este último caso, se encuentren en situación de discapacidad con un grado reconocido igual o superior al 65%. La subrogación requerirá acreditar la convivencia con la persona titular fallecida durante, al menos, los dos años anteriores a su fallecimiento, así como el cumplimiento, en la fecha en que se solicite, de los requisitos establecidos en el artículo 21 y en el Capítulo II de este Título III, diferenciando entre los previstos en la Sección 1.ª para el régimen especial y los establecidos en la Sección 2.ª para el régimen general.
Asimismo, previo informe de la Dirección General competente en materia de protección al menor y a las familias, podrá, en su caso, subrogarse, en la titularidad de la vivienda, el menor que se encuentre en situación de acogimiento preadoptivo por parte de la persona titular de la vivienda.
Si concurrieran varias de las personas mencionadas y no existiera acuerdo entre ellas, la subrogación se resolverá conforme al orden de prelación previsto en los apartados 1 y 2 del artículo 16 de la Ley de Arrendamientos Urbanos, o en la norma que la sustituya. En el caso de concurrencia de dos o más personas acogidas preadoptivas, la subrogación se reconocerá a todas ellas.
4. La solicitud de cambio de titularidad deberá presentarse dentro del plazo establecido en el apartado 7 del artículo 57 del presente Decreto, contado a partir de la fecha del fallecimiento. Será igualmente de aplicación lo dispuesto en los apartados 8 y 9 del citado artículo.
1. En los casos en los que alguna de las personas integrantes de la unidad familiar o de convivencia de la persona arrendataria de vivienda protegida de promoción pública se viese afectada por discapacidad sobrevenida, que precise la eliminación de barreras arquitectónicas de imposible realización en su vivienda, o fuera víctima de violencia de género, o de otros actos delictivos que pusiesen en peligro su integridad física al residir en la vivienda adjudicada, o por movilidad laboral que obligue a fijar la residencia en otra isla del archipiélago canario, o por acuerdo de permuta con otra unidad familiar adjudicataria, se podrá autorizar por el Instituto Canario de la Vivienda la extinción del contrato de arrendamiento, al objeto de que, por su parte, se proceda a una nueva adjudicación en el mismo régimen.
2. En cualquier caso serán requisitos indispensables:
a) La aportación de la documentación acreditativa de la causa en la que se fundamenta su pretensión.
b) Encontrarse al corriente en el pago de las rentas y de las obligaciones para la conservación y administración del inmueble.
c) La disponibilidad de una vivienda adecuada en el parque público que haga factible la nueva adjudicación.
3. En estos casos, la persona interesada podrá, en orden a facilitar la resolución del expediente, poner en conocimiento del Instituto Canario de la Vivienda la existencia de otra persona adjudicataria en el mismo régimen cuya vivienda sea idónea para la solución del problema planteado.
4. Una vez valorada la documentación presentada, mediante resolución de la persona titular de la Dirección del Instituto Canario de la Vivienda, se procederá a la aceptación de la renuncia de la adjudicación y a las respectivas nuevas adjudicaciones. Notificada la anterior resolución a las personas interesadas, estas dispondrán de un plazo improrrogable de treinta días naturales para llevar a cabo el traslado a los nuevos domicilios, transcurrido el cual sin que se haya formalizado el mismo se entenderá que se desiste de lo solicitado.
5. El transcurso del plazo máximo para resolver sin haberse notificado resolución expresa producirá efectos desestimatorios por silencio administrativo.
6. Acogida una persona adjudicataria al procedimiento anteriormente señalado y dictada resolución por parte de la persona titular de la Dirección del Instituto, no se podrá dirigir por la misma nueva solicitud fundamentada en la misma causa ya acreditada, salvo circunstancias excepcionales, que se valorarán mediante el oportuno informe social.
1. A fin de garantizar la adecuada administración y conservación de las viviendas de promoción pública titularidad del Instituto Canario de la Vivienda, la Dirección del organismo podrá acordar que dichas funciones se ejerzan:
a) Mediante la contratación de una persona administradora de fincas colegiada, que actuará en nombre del Instituto; o
b) por las propias personas adjudicatarias, constituidas en junta administradora.
Todo ello sin perjuicio de la aplicación de las restantes formas de administración y conservación previstas en la Ley 2/2003, de 30 de enero, de Vivienda de Canarias, o norma que la sustituya.
2. En función de las características, configuración, distribución o magnitud de la promoción, podrá acordarse la constitución de más de una junta administradora. En tal caso, las personas que ostenten la presidencia de cada una de ellas deberán designar, de entre ellas, a una persona que actúe como representante de la promoción.
1. Las juntas administradoras estarán integradas por todas las personas arrendatarias de las viviendas protegidas de promoción pública pertenecientes a una misma promoción o finca. La pertenencia a la junta será obligatoria para quienes ostenten dicha condición, a partir de la formalización del contrato de arrendamiento.
Su funcionamiento se regirá por los estatutos que aprueben, y, en lo no previsto en ellos, por la normativa autonómica reguladora de las viviendas protegidas de promoción pública, por la legislación vigente en materia de arrendamientos urbanos y de propiedad horizontal y, supletoriamente, por el Código Civil.
2. Cuando se haya ordenado la constitución de una junta administradora, esta deberá constituirse con anterioridad a la entrega de llaves a las personas adjudicatarias de las viviendas; a tales efectos, el Instituto Canario de la Vivienda procederá a convocar a las personas adjudicatarias con indicación de la fecha, hora y lugar de la celebración del acto constitutivo.
3. Para la válida constitución de la junta administradora será necesaria, en Primera convocatoria, la asistencia de la totalidad de las personas adjudicatarias de las viviendas o, en su caso, de quienes las representen, en el lugar, fecha y hora previamente señalados. En Segunda convocatoria será suficiente la asistencia de la mayoría de dichas personas adjudicatarias.
4. La junta administradora se entenderá válidamente constituida cuando cuente con el voto favorable de la mayoría simple de las personas adjudicatarias asistentes. En esa Primera sesión, deberá designarse, de entre las personas arrendatarias, a quienes ejercerán las funciones de presidencia y de secretaría-administración, como órganos de gobierno de la junta. Para el desempeño de las funciones de secretaría-administración podrá contratarse a una persona administradora de fincas colegiada.
5. Se crea el Registro de Juntas Administradoras de Viviendas del Parque Público, en el que se inscribirán los datos identificativos de cada junta. La base de datos inicial incluirá, al menos, la información mínima que se detalla a continuación y será objeto de actualización, al menos, una vez al año, en función de las renovaciones que afecten a los órganos de gobierno de dichas juntas:
• Identificación de los miembros del órgano de gobierno de la junta.
• CIF y denominación.
• Domicilio a efectos de notificaciones.
6. El Instituto Canario de la Vivienda podrá formalizar el instrumento jurídico que corresponda con entidades de derecho público o privado, destinado a dotar a determinadas juntas administradoras de los recursos necesarios para acometer la administración y conservación de sus viviendas, en aquellos supuestos en que los servicios técnicos del Instituto Canario de la Vivienda lo consideren necesario.
7. Asimismo, el Instituto Canario de la Vivienda podrá formalizar el instrumento jurídico que resulte adecuado para llevar a cabo la administración y conservación de las viviendas de promoción pública, conforme a las restantes modalidades previstas en el artículo 50 de la Ley 2/2003, de 30 de enero, de Vivienda de Canarias, o norma que la sustituya.
1. El régimen de funcionamiento de las juntas administradoras se regirá por sus respectivos estatutos, cuyo contenido será aprobado mediante resolución de la persona titular de la Dirección del Instituto Canario de la Vivienda. Dichos estatutos deberán ser conocidos por las personas arrendatarias y, en su caso, les serán exigibles, al integrarse como parte del contrato de arrendamiento.
2. Cada persona arrendataria estará obligada a contribuir, con arreglo a la cuota de participación que se fije en su contrato de arrendamiento, al sostenimiento de los gastos comunes o generales del inmueble, sus servicios, cargas y responsabilidades que no sean susceptibles de individualización. A tal fin, deberá abonar las cuotas que se establezcan en dicho contrato como cuota anual inicial, así como sus posteriores actualizaciones conforme a los presupuestos aprobados por la junta administradora.
Los gastos relativos al mantenimiento de las instalaciones de saneamiento, incluidos los servicios de vaciado de fosas sépticas, los sistemas destinados a la reducción del consumo de energía primaria no renovable, como las placas solares, y cualquier otra instalación o servicio común que se incorpore, serán sufragados por las juntas administradoras y, en su defecto, directamente por las personas arrendatarias.
3. Las convocatorias de reuniones de los órganos de gobierno de las juntas administradoras, así como las actas correspondientes, deberán notificarse al Instituto Canario de la Vivienda, que podrá designar una persona representante para asistir a dichas reuniones con voz, pero sin voto.
1. En aquellos casos en que, dentro de una misma promoción de viviendas, coexistan inmuebles adjudicados en régimen de alquiler con otros en régimen de propiedad, las personas adjudicatarias de viviendas en alquiler asistirán a las reuniones de la comunidad de propietarios en representación del Instituto Canario de la Vivienda. A estos efectos, se subrogarán en la posición jurídica del citado Instituto como titular registral, exclusivamente en lo que respecta a la adopción de acuerdos en el seno de dicha comunidad.
2. El cumplimiento de los acuerdos adoptados por la junta de propietarios será exigible a las personas adjudicatarias conforme a lo dispuesto en la normativa aplicable en materia de viviendas protegidas de promoción pública.
Las citaciones, comunicaciones y notificaciones que deban dirigirse al Instituto Canario de la Vivienda por parte de las comunidades de propietarios o de las juntas administradoras, en relación con las viviendas de promoción pública de su titularidad, deberán realizarse exclusivamente por medios electrónicos, conforme a los modelos normalizados disponibles en la sede electrónica de la Administración Pública de la Comunidad Autónoma de Canarias.
1. El presente título tiene por objeto regular la adjudicación de aquellas plazas de garaje u otros anejos registralmente no vinculados a las viviendas de las promociones de titularidad del Instituto Canario de la Vivienda, que se encontrasen pendientes de adjudicación a la entrada en vigor de esta norma, cuando dicho organismo autónomo ejerza directamente su gestión, en régimen de arrendamiento u otro título de uso temporal.
Las plazas de garaje u otros anejos no vinculados que sean objeto de adjudicación a personas con discapacidad que implique graves o totales limitaciones en la movilidad o la comunicación, deberán cumplir lo dispuesto en el Real Decreto Legislativo 1/2013, de 29 de noviembre, por el que se aprueba el Texto Refundido de la Ley General de derechos de las personas con discapacidad y de su inclusión social, o norma que lo sustituya.
2. El Instituto Canario de la Vivienda podrá ceder el uso o la gestión de estos bienes a otras Administraciones Públicas, a sus organismos públicos dependientes o vinculados, o a sociedades mercantiles públicas, mediante la formalización del correspondiente instrumento jurídico habilitante, conforme al régimen de utilización que en él se establezca.
3. Igualmente, podrá acordarse la enajenación, total o parcial, de estos bienes a favor de las entidades indicadas en el apartado anterior, con arreglo a la normativa patrimonial aplicable, así como su venta a personas físicas, conforme a los términos previstos en este título.
4. La enajenación de plazas de garaje u otros anejos no vinculados realizadas a título oneroso a personas físicas, no impondrá condición alguna relativa al destino o uso del bien transmitido, que pasará a integrar su patrimonio privado.
Cuando la enajenación tenga por destinatarias a Administraciones Públicas, organismos públicos o sociedades mercantiles públicas, el instrumento jurídico de transmisión preverá que el destino del bien responda a fines públicos, debiendo especificarse expresamente el uso previsto y las consecuencias jurídicas del incumplimiento, de conformidad con la normativa patrimonial que resulte de aplicación.
1. Tendrán la consideración de personas beneficiarias aquellas personas físicas que, reuniendo los requisitos establecidos en este título, les sea adjudicada, en régimen de arrendamiento o de compraventa, plaza de garaje u otros anejos no vinculados de titularidad del Instituto Canario de la Vivienda.
2. Asimismo, podrán ser beneficiarias las personas jurídicas, públicas o privadas sin ánimo de lucro que, de acuerdo con lo establecido en el artículo 52 de este Decreto, sean adjudicatarias de una vivienda protegida de promoción pública con destino a piso tutelado.
3. Tendrán la consideración de personas destinatarias aquellas Administraciones Públicas, sus organismos públicos dependientes o vinculados, y las sociedades mercantiles públicas que accedan a la gestión, al uso o a la titularidad de plazas de garaje u otros anejos no vinculados, en virtud de los instrumentos jurídicos contemplados en este título.
1. Para poder optar a la adjudicación que efectúe el Instituto Canario de la Vivienda de plazas de garaje u otros anejos no vinculados, las personas interesadas deberán cumplir los siguientes requisitos:
a) Ser titular, en régimen de arrendamiento o de compraventa, de una vivienda protegida de promoción pública ubicada en la misma promoción o en la zona de influencia definida en el artículo 69.2 de este Decreto. En el caso de adjudicación en régimen de compraventa, será necesario ostentar la propiedad de la vivienda. Cuando se trate de un piso tutelado situado en la misma promoción, deberá tratarse de una persona jurídica, pública o privada sin ánimo de lucro, que sea beneficiaria de la cesión de uso conforme a lo previsto en el artículo 52 de este Decreto.
b) Ser titular de un vehículo y encontrarse al corriente en el pago del Impuesto sobre Vehículos de Tracción Mecánica, en el caso de optar a una plaza de garaje.
c) Estar al corriente en el pago del arrendamiento o de las cuotas de amortización correspondientes a la vivienda, así como de los gastos de comunidad, en su caso.
2. Se podrá adjudicar un máximo de dos plazas de garaje por unidad familiar o de convivencia, siempre que se cumplan simultáneamente las siguientes condiciones:
a) Ambas plazas hayan sido solicitadas expresamente.
b) Exista un segundo vehículo registrado a nombre de un miembro de la unidad familiar o de convivencia.
c) El titular del vehículo Adicional esté al corriente en el pago del Impuesto sobre Vehículos de Tracción Mecánica.
Para otros anejos no vinculados distintos a plazas de garaje, se adjudicará únicamente uno por unidad familiar o de convivencia.
3. En el caso de plazas de garaje, la adjudicación deberá dar cobertura al máximo número posible de unidades familiares o de convivencia que incluyan, al menos, una persona que cumpla con el requisito del apartado 1.b) de este artículo.
Si las plazas disponibles son insuficientes, se aplicarán los siguientes criterios de priorización, en este orden:
a) Unidades familiares o de convivencia con alguna persona entre sus miembros que tenga reconocido un grado de discapacidad igual o superior al 65% o haber sido valorada en situación de dependencia (Grado II o III), de conformidad con la normativa vigente.
b) Mayor número de menores a cargo en la unidad familiar o de convivencia.
c) Unidades familiares monoparentales.
d) Sorteo público, en caso de persistir empate.
Para otros anejos no vinculados, se aplicarán los mismos criterios, excluyendo el requisito del apartado 1.b).
4. En caso de que no se cubran todas las plazas de garaje u otros anejos no vinculados con las personas referidas en los apartados anteriores, los anejos restantes podrán adjudicarse a personas titulares de viviendas protegidas de promoción pública ubicadas en la zona de influencia de la promoción. En tal supuesto, y si resultara necesario, se aplicarán los criterios de priorización del apartado 3.
1. Por la persona titular de la Dirección del Instituto Canario de la Vivienda se acordará el inicio del procedimiento para la adjudicación de las plazas de garaje u otros anejos no vinculados de una o varias promociones de viviendas, que será publicado en el Boletín Oficial de Canarias.
2. La resolución de inicio hará mención expresa del número de plazas u otros anejos no vinculados disponibles; del plazo de presentación de solicitudes; de la zona de influencia de la promoción en la que se ubiquen dichos anejos; del procedimiento de adjudicación; del modo de acceso a las plazas u otros anejos y de las condiciones económicas de la adjudicación; así como de la documentación que deba aportarse para acreditar el cumplimiento de los requisitos para ser persona adjudicataria.
3. Cuando se trate de personas adjudicatarias de viviendas protegidas de promoción pública del mismo edificio, unidad edificatoria o promoción en la que se ubican los anejos no vinculados o, en su caso, de personas adjudicatarias de viviendas de promoción pública de la zona de influencia, los precios máximos de arrendamiento para los anejos serán los establecidos por la normativa vigente de promoción pública en el momento de la celebración del contrato.
En caso de compraventa, el precio máximo de venta se ajustará a lo previsto en el artículo 6.3 del Decreto ley 24/2020, de 23 de diciembre, de medidas extraordinarias y urgentes en los ámbitos de vivienda, transportes y puertos de titularidad de la Comunidad Autónoma de Canarias, o norma que lo sustituya, salvo que dicho precio máximo resulte superior al precio de mercado, en cuyo caso el precio de venta quedará limitado a este último.
4. En el supuesto de adjudicar la gestión de plazas de garaje de titularidad del Instituto Canario de la Vivienda, se formalizará el instrumento jurídico adecuado.
5. El órgano competente para dictar la resolución de adjudicación será la Dirección del Instituto Canario de la Vivienda, ante la que cabrá recurso de alzada ante la Presidencia de este Organismo autónomo.
6. El transcurso del plazo máximo para resolver sin haberse notificado resolución expresa producirá efectos desestimatorios por silencio administrativo en la solicitud de adjudicación.
En la resolución de inicio del procedimiento para la adjudicación de las plazas de garaje u otros anejos no vinculados se podrá acordar la creación de una lista de reserva para la adjudicación de las plazas de garaje u otros anejos no vinculados que resultasen vacantes, por renuncia de las personas adjudicatarias o por cualquier otra causa. La lista de reserva tendrá una vigencia de dos años, contados a partir de la fecha de la resolución de adjudicación de las plazas de garaje u otros anejos.
1. El Instituto Canario de la Vivienda procederá a formalizar el contrato de arrendamiento de la plaza o plazas de garaje y/o de otros anejos no vinculados cuya duración quedará supeditada a la del contrato de arrendamiento de la vivienda protegida de promoción pública respecto de la cual la persona arrendataria tenga la condición de adjudicataria.
2. En el plazo máximo de dos meses contados a partir de la notificación de la resolución de adjudicación definitiva de la plaza de garaje u otro anejo no vinculado, se requerirá a las personas interesadas para la formalización del contrato de arrendamiento que, como mínimo, contendrá las siguientes menciones:
a) Identificación de las partes suscriptoras, lugar y fecha de su celebración.
b) Datos identificativos del inmueble arrendado, con indicación de su ubicación y características físicas.
c) Renta inicial y forma de pago.
d) Deberes de la persona arrendataria en relación al uso y conservación del inmueble.
e) Tiempo de duración del contrato y régimen de prórroga.
3. La formalización del contrato de arrendamiento será trámite previo e indispensable para la toma de posesión del inmueble.
4. Queda prohibido el subarriendo y la cesión de uso a terceros del anejo no vinculado, siendo su incumplimiento causa de resolución del contrato de arrendamiento.
Si una vez producida la adjudicación falleciera la persona titular del contrato perteneciente a la unidad familiar o de convivencia, podrán subrogarse en dicha condición los miembros que integran la misma, aplicándose el orden de prelación establecido en el artículo 59 de este Decreto.
Con carácter previo a la formalización de los contratos de arrendamiento, la persona titular de la Dirección del Instituto Canario de la Vivienda podrá ordenar, mediante resolución, que las personas adjudicatarias de las plazas de garaje u otros anejos no vinculados de la promoción se constituyan en junta administradora para su administración y conservación, sin perjuicio de recurrir a las otras formas de administración y conservación establecidas en la Ley 2/2003, de 30 de enero, de Vivienda de Canarias, o norma que la sustituya.
1. Tras la adjudicación en régimen de compraventa se procederá, en un plazo máximo de dos meses tras la notificación, a la formalización de la correspondiente escritura pública de compraventa, debiendo la persona adjudicataria con carácter previo y en el plazo de los diez días siguientes a su requerimiento, abonar una aportación inicial del 5% del precio de venta.
Transcurrido el citado plazo de dos meses sin que la escritura se hubiera formalizado por causa imputable a la persona interesada, se entenderá que esta renuncia a la adquisición del anejo, sin perjuicio de las responsabilidades que pudieran derivarse.
2. Si una vez producida la adjudicación y en un momento anterior a la suscripción de la escritura pública de compraventa falleciera la persona titular de la unidad familiar o de convivencia, podrán subrogarse en dicha condición y, por tanto, formalizar la correspondiente escritura, los miembros que integran la misma, aplicándose el orden de prelación establecido en el artículo 59 de este Decreto.
3. La venta de los garajes u otros anejos no vinculados se realizará como fincas independientes entre sí e independientes también de las viviendas de la promoción.
4. Una vez formalizada la escritura pública de la compraventa, la persona adquirente deberá proceder, en el plazo de un mes, a la inscripción de la escritura de compraventa en el correspondiente Registro de la Propiedad.
1. En la formalización de la escritura pública de compraventa la persona adquirente aportará el 95% restante del precio, sin cuya acreditación no se podrá formalizar el citado documento.
2. En caso de que no se formalice la escritura pública de compraventa por causa no imputable a la persona adquirente, se procederá a la devolución de las cantidades que esta hubiese abonado, sin que proceda el abono de intereses, indemnización o compensación económica alguna.
Por el contrario, si la falta de formalización fuese imputable a la persona adquirente, la Administración podrá retener, en concepto de indemnización por daños y perjuicios, hasta el 5% del importe total ofertado, sin perjuicio de otras responsabilidades que pudieran derivarse.
Las personas adquirentes en propiedad de los garajes u otros anejos no vinculados vendrán obligadas a constituirse en comunidad de propietarios, que podrá ser independiente de la que se encuentre ya constituida para la administración de las viviendas y elementos comunes de la promoción o integrarse en la existente, debiendo designar los cargos representativos de dicha comunidad de acuerdo con los estatutos anexos a la resolución de adjudicación, o bien pasar a formar parte de la comunidad de propietarios ya constituida de acuerdo con la escritura de división horizontal.
1. Las personas usuarias de una vivienda o alojamiento protegido de promoción pública deberán cumplir con las siguientes obligaciones:
a) Destinar la vivienda, o el alojamiento con espacios comunes complementarios, a residencia habitual y permanente de la unidad familiar o de convivencia.
b) No subarrendar la vivienda, total ni parcialmente, ni destinarla a usos distintos del de residencia habitual, incluyendo su utilización como alojamiento turístico o vacacional, ni ceder su uso a terceros bajo ninguna modalidad.
c) No admitir como ocupantes de la vivienda a personas que no formen parte de la unidad de convivencia.
d) Comunicar al Instituto Canario de la Vivienda la modificación de la composición de la unidad familiar o de convivencia en el plazo máximo de tres meses desde que se produzca el hecho motivador de su incremento o disminución. En todo caso, la inclusión de una nueva persona en la unidad familiar o de convivencia deberá contar con autorización previa del citado organismo autónomo, salvo en el caso de niños, niñas, adolescentes descendientes, acogidos o en guarda con fines de adopción.
e) Constar empadronadas en la vivienda durante la vigencia del contrato todas las personas que integren la unidad familiar o de convivencia.
f) Prestar fianza antes de ocupar la vivienda o alojamiento, en régimen general de arrendamiento.
g) Pagar la renta mensual y los gastos de comunidad durante el plazo marcado en el contrato.
h) Cuidar de la vivienda y no realizar actividades molestas, insalubres o ilegales.
i) Sufragar los gastos por los servicios de recogida de residuos sólidos urbanos, vaciado de fosa séptica, tasas por depuración de aguas, suministro de electricidad, agua de consumo, gas, telecomunicaciones o cualquier otro necesario para el mantenimiento de la vivienda y del inmueble donde esta se ubica.
j) Reparar los daños que por culpa o negligencia de la persona arrendataria se hayan producido.
k) Permitir la realización de las obras de conservación o mejora por parte del arrendador.
l) Cumplir las normas de la comunidad en cuanto a limpieza, horarios de ocio y uso de zonas comunes.
m) Cuidar y respetar las zonas comunes, incluyendo, si existiesen, las instalaciones de saneamiento de aguas residuales y pluviales, así como las de ahorro energético, tales como las de energía solar térmica, fotovoltaica y similares.
n) Permitir el acceso a la vivienda en caso de inspección pública y, también, en caso de necesidad de realizar obras de conservación o mejora, tanto en la propia vivienda como en las zonas e instalaciones comunes a las cuales se ha de acceder a través de la vivienda.
ñ) Mantener la vivienda asegurada, al menos, contra los riesgos de incendio y daños a terceros, designando como beneficiario al Instituto Canario de la Vivienda.
o) Estar al corriente del pago de la renta arrendaticia de la vivienda, de los gastos de comunidad y de los relacionados en la letra i) de este apartado o, en su defecto, haber formalizado compromiso de pago de la deuda contraída, como condiciones imprescindibles para formalizar supuestos de subrogación.
p) Atender el pago de cualquier gasto o tributación consecuencia del otorgamiento del contrato de arrendamiento o su posible inscripción en el Registro de la Propiedad, así como, en su caso, los impuestos y tasas conforme a la legislación vigente que correspondan a la vivienda arrendada o sus accesorios, de conformidad con lo dispuesto en el artículo 20 de la Ley de Arrendamientos Urbanos, o norma que la sustituya.
q) Comunicar al Instituto Canario de la Vivienda, en el plazo máximo de tres meses desde que se produzcan, los hechos sobrevenidos que supongan una modificación de la situación económica de la unidad familiar o de convivencia, o de circunstancias de otra índole, como discapacidad o vulnerabilidad, que puedan afectar al importe de la renta arrendaticia.
2. El incumplimiento de las obligaciones previstas en el apartado 1 podrá dar lugar a la extinción del contrato de arrendamiento, de acuerdo con lo previsto en el artículo 56 del presente Decreto; a la pérdida de la efectividad de la resolución de adjudicación de la vivienda, en el supuesto de incumplimiento de la obligación prevista en la letra f) del apartado 1 de este artículo, de acuerdo con lo previsto en el artículo 44.2 de esta norma; o a la incoación de un procedimiento sancionador, exclusivamente en aquellos casos en que dicho incumplimiento constituya una infracción tipificada en la legislación vigente en materia de vivienda.
3. Asimismo, en el caso de que la unidad familiar o de convivencia no se encuentre al corriente de pago de las rentas mensuales y de los gastos de comunidad, el Instituto Canario de la Vivienda podrá ejercitar las acciones legales oportunas para la reclamación de las cantidades adeudadas.
4. El Instituto Canario de la Vivienda podrá declinar la petición de la persona adjudicataria para la realización de obras de conservación o mejora en su vivienda, en caso de morosidad en los pagos de las rentas mensuales y/o de los gastos de comunidad.
Se considerará que existe habitualidad en la ocupación de la vivienda cuando la misma no permanezca desocupada durante más de seis meses en el periodo de un año salvo que, por mediar justa causa que deberá acreditarse documentalmente, haya sido autorizada su desocupación por el Instituto Canario de la Vivienda.
Se entenderá que existe justa causa para desocupar temporalmente la vivienda cuando, por razones de enfermedad, violencia de género, por ser alguna de las personas legalmente usuarias víctimas de actos delictivos o por movilidad laboral fuera de la isla donde se encuentra la vivienda u otras circunstancias de análoga naturaleza, resulte necesario el traslado a otra residencia.
La solicitud de autorización de desocupación deberá presentarse con carácter previo al traslado, e irá acompañada de la documentación que acredite la causa invocada.
La autorización se concederá por un plazo máximo de seis meses, prorrogable por otro periodo de igual duración, siempre que persistan las circunstancias que motivaron su concesión. La prórroga deberá solicitarse antes de la expiración del plazo inicialmente autorizado.
El plazo máximo para resolver y notificar la resolución será de tres meses a contar desde la fecha en que la documentación acreditativa de la causa haya sido presentada. Transcurrido dicho plazo sin resolución expresa, la solicitud se entenderá estimada por silencio administrativo, de conformidad con lo dispuesto en el artículo 24 de la Ley 39/2015, de 1 de octubre, o norma que la sustituya.
1. En régimen especial, el importe de la renta arrendaticia fijado en el contrato podrá modificarse cuando, como resultado de la revisión de los requisitos establecidos en los artículos 21, 28 y 29 de este Decreto, se aprecie la necesidad de adecuarla a la capacidad económica de la unidad familiar o de convivencia, debido a una variación sustancial sobrevenida de la misma.
Se entenderá por variación sustancial un cambio en los ingresos netos computables ponderados del último ejercicio fiscal cerrado -calculados conforme a lo dispuesto en el apartado 1.2 del Anexo 1 de este Decreto- superior al 20%, al alza o a la baja, respecto de los ingresos que determinaron la renta vigente, siempre que dicho cambio implique una modificación de al menos cinco euros mensuales. En ningún caso la renta resultante de la revisión podrá ser inferior a la correspondiente a una cuota del 1%, calculada de conformidad con lo previsto en el apartado 3 del artículo 3 del Decreto 1/2004, de 13 de enero, o norma que lo sustituya.
2. La revisión de la renta se iniciará de oficio y podrá tener por causa alguna de las siguientes circunstancias:
a) La revisión periódica prevista en el artículo 55.2 de este Decreto.
b) La modificación de la titularidad del contrato de arrendamiento.
c) La extinción del contrato como consecuencia de una nueva adjudicación.
d) La Finalización del periodo de vigencia de las ayudas reguladas por el Decreto 32/2020, de 2 de abril, por el que se regula la ayuda a los alquileres de las viviendas protegidas adjudicadas por la Administración Pública de la Comunidad Autónoma de Canarias en régimen de alquiler.
e) La modificación de la tabla de ingresos y cuotas del artículo 3.3 del Decreto 1/2004, de 13 de enero, o norma que lo sustituya.
3. Excepcionalmente, podrá concederse una bonificación Transitoria en la renta, a instancia de parte, cuando se acredite un empeoramiento sobrevenido de la capacidad económica de la unidad familiar o de convivencia que imposibilite el abono de la renta o de las cuotas de comunidad. A estos efectos, se tomará como referencia el promedio mensual de ingresos netos obtenidos en los tres meses anteriores a la solicitud. Con base en dichos ingresos, se calculará una nueva renta provisional, aplicable durante un periodo inicial de doce meses.
La bonificación surtirá efectos a partir del mes siguiente a la presentación de la solicitud, en caso de resolución favorable. Finalizado el periodo inicial, la situación se revisará a la vista de la documentación que se aporte. Si se acredita la persistencia de las circunstancias que motivaron la bonificación, podrá acordarse una prórroga de hasta seis meses, previa solicitud debidamente motivada, presentada antes de la expiración del plazo inicial. Concluido el periodo bonificado, la renta se ajustará nuevamente conforme a la capacidad económica de la unidad familiar o de convivencia, de acuerdo con lo dispuesto en el artículo 3.3 del Decreto 1/2004, de 13 de enero, o norma que lo sustituya.
La bonificación podrá alcanzar hasta el 100% de la renta cuando la unidad familiar o de convivencia se encuentre al corriente de pago, al menos, durante los dos meses previos a la solicitud, y concurra alguna de las siguientes condiciones:
a) Que la cuota resultante, calculada según los ingresos actuales, se reduzca en más de un 20% y resulte igual o inferior a seis euros mensuales.
b) Que se aporte informe social emitido por el ayuntamiento del municipio de empadronamiento, que justifique, de forma motivada, la necesidad de suspender temporalmente el pago de la renta mientras persista la situación de vulnerabilidad, con una revisión semestral.
Las personas beneficiarias de una bonificación del 100% deberán comunicar cualquier modificación de sus circunstancias socioeconómicas en el plazo máximo de tres meses desde que se produzca.
4. La solicitud de bonificación de la renta deberá ir acompañada de la siguiente documentación:
a) Formulario normalizado, que incluya autorización expresa al Instituto Canario de la Vivienda para recabar la información necesaria ante la Agencia Estatal de Administración Tributaria, la Dirección General del Catastro, las entidades gestoras de la Seguridad Social y demás Administraciones Públicas competentes, en los términos previstos en la Ley 58/2003, de 17 de diciembre, General Tributaria, o en otra normativa aplicable.
b) Justificación de los ingresos de todos los miembros de la unidad familiar o de convivencia en los tres meses anteriores a la solicitud, mediante alguno de los siguientes documentos:
i) En el caso de personas trabajadoras por cuenta ajena: certificado de empresa, nóminas, certificado de bases de cotización o informe de vida laboral.
ii) En el caso de personas trabajadoras por cuenta propia: pagos fraccionados del IRPF correspondientes al último trimestre.
iii) Informe social del ayuntamiento del municipio en el que radique la vivienda.
c) En caso de no autorizar la consulta de datos, deberá aportarse la documentación acreditativa correspondiente, entre la que podrá incluirse:
i) Certificado de cese de actividad expedido por la AEAT o la Agencia Tributaria Canaria.
ii) Certificado del SEPE relativo a prestaciones por desempleo.
iii) Certificado de prestaciones de la Seguridad Social.
iv) Documentación acreditativa del grado de discapacidad, dependencia o incapacidad permanente.
d) Declaración responsable de los ingresos percibidos por todos los miembros de la unidad familiar o de convivencia en los tres meses previos a la solicitud, con indicación expresa de su origen (pensión de jubilación, viudedad, Ingreso Mínimo Vital, etc.), en caso de que no puedan ser acreditados documentalmente por otros medios.
5. La modificación de la renta arrendaticia y, en su caso, la concesión de la bonificación a que se refiere el presente artículo, se acordarán mediante resolución de la persona titular de la Dirección del Instituto Canario de la Vivienda, que se incorporará como anexo al contrato de arrendamiento.
6. El plazo máximo para dictar y notificar la resolución será de tres meses desde la presentación de la solicitud, entendiéndose desestimada por silencio administrativo una vez transcurrido dicho plazo sin resolución expresa.
1. Las personas adjudicatarias -ya sea en Primera, Segunda o posteriores adjudicaciones- de viviendas aportadas por entidades promotoras distintas del Instituto Canario de la Vivienda, estén o no sujetas a régimen de protección pública en el momento de la adjudicación, podrán acogerse a las ayudas al alquiler que esta Administración pueda conceder para las viviendas protegidas de promoción pública, siempre que concurran las siguientes condiciones:
a) Que se haya suscrito el correspondiente instrumento jurídico de colaboración con el Instituto Canario de la Vivienda, mediante el cual las viviendas se adjudiquen en régimen de arrendamiento conforme al procedimiento vigente para viviendas de promoción pública.
b) Que el precio del alquiler pactado no supere el límite máximo establecido para las viviendas de promoción pública de acuerdo al régimen, especial o general, que corresponda.
2. En las mismas condiciones establecidas en el apartado anterior, podrán aplicarse las bonificaciones previstas en el artículo 79 del presente Decreto, siempre que:
a) La posibilidad de aplicar dichas bonificaciones esté expresamente recogida en el instrumento de colaboración correspondiente.
b) La entidad promotora actúe como gestora de la bonificación ante el Instituto Canario de la Vivienda y figure como endosataria de la ayuda concedida, en compensación por haber aplicado la bonificación a las personas arrendatarias.
3. Los convenios de colaboración que suscriba el Instituto Canario de la Vivienda con entidades promotoras para proveer viviendas en alquiler mediante adjudicación conforme al procedimiento previsto para las de promoción pública de régimen especial, podrán prever una compensación económica cuando:
a) Se acredite, de forma motivada y documentada, la existencia de un déficit de explotación imputable exclusivamente a los importes limitados de la renta arrendaticia.
b) Dicho déficit no derive de una gestión ineficiente, negligente o contraria a los principios de buena administración por parte de la entidad promotora.
En todo caso, los convenios deberán ajustarse a los principios de eficacia, eficiencia y sostenibilidad financiera en la gestión de los fondos públicos. Asimismo, y sin perjuicio de los requisitos exigidos por la normativa aplicable, deberán incluir la obligación de la entidad promotora de emitir certificaciones individualizadas por vivienda, en las que consten la dirección del inmueble, la identificación de las personas adjudicatarias y la cuantía de la compensación aplicada a cada unidad familiar o de convivencia.
1. El Instituto Canario de la Vivienda podrá acordar, a propuesta de una entidad local y previo informe de la Comisión de Vivienda, la realización de actuaciones singulares destinadas específicamente a la erradicación de la infravivienda, a la reposición de grupos de viviendas o bien dirigidas a solucionar necesidades derivadas de operaciones de relocalización, rehabilitación o cualquier otra similar, que se consideren de interés social y que afecten a colectivos de población concretos.
2. La resolución por la que se acuerde llevar a cabo estas actuaciones singulares establecerá las reglas especiales que, atendiendo al colectivo específico al que se dirijan, han de regir para la adjudicación de las viviendas que, en todo caso, quedarán excluidas de los procedimientos previstos en este Decreto, y sin que le sea de aplicación el requisito de la previa inscripción en el Registro Público de Demandantes de Vivienda Protegida de Canarias.
En todo caso, estas reglas especiales de adjudicación deberán observar los principios establecidos en el apartado 1 del artículo 47 de la Ley 2/2003, de 30 de enero, de Vivienda de Canarias, o norma que la sustituya.
3. Cuando el Instituto Canario de la Vivienda participe con otras Administraciones o entidades públicas en la regeneración y renovación de grupos que hubieran tenido la calificación de viviendas protegidas de promoción pública, su adjudicación deberá regirse por el presente Decreto, o norma que lo sustituya.
1. Podrán acogerse al régimen de adjudicación previsto en el presente Decreto para las viviendas protegidas de promoción pública aquellas viviendas promovidas por sociedades mercantiles cuyo capital sea íntegramente de titularidad de la Administración Pública de la Comunidad Autónoma de Canarias, siempre que dichas sociedades tengan por objeto la promoción de viviendas protegidas y así se convenga expresamente mediante el correspondiente instrumento de colaboración.
2. Igualmente, podrán someterse a los procedimientos de Segunda o posteriores adjudicaciones regulados en este Decreto las viviendas promovidas por las citadas sociedades mercantiles públicas que, habiendo vencido su régimen de protección, hubieran sido previamente adjudicadas conforme a los procedimientos propios de adjudicación de las viviendas de promoción pública.
3. En estos casos, el régimen de arrendamiento se ajustará a las condiciones del régimen especial de las viviendas protegidas de promoción pública, y la renta arrendaticia no podrá superar el precio máximo previsto para dicho régimen. Hasta que se suscriba el convenio correspondiente, la renta aplicable será la que figure en los contratos vigentes, sin que pueda superar el precio máximo previsto para las viviendas protegidas de promoción privada en régimen especial.
4. El convenio o encargo a que se refieren los apartados anteriores deberá formalizarse en un plazo máximo de dos años desde la entrada en vigor del presente Decreto, y contemplará, al menos:
a) El número de viviendas afectadas, diferenciando entre Primeras, Segundas o posteriores adjudicaciones.
b) La aplicación del régimen de renta arrendaticia conforme a lo dispuesto para la promoción pública en régimen especial.
c) El régimen de administración y gestión de las viviendas.
d) El mecanismo de compensación económica, cuando proceda, en favor de la sociedad mercantil pública, por el déficit de explotación derivado exclusivamente de la aplicación de las rentas limitadas del régimen especial de promoción pública, de acuerdo con lo previsto en el artículo 80 del presente Decreto.
El Instituto Canario de la Vivienda facilitará a los ayuntamientos y a los cabildos insulares, para su suscripción, un modelo de convenio tipo en el que se establecerán las bases y condiciones necesarias para llevar a cabo la cooperación a la que se refiere el artículo 5 de este Decreto, así como la relativa a la implantación, inscripción y acceso a los datos del Registro Público de Demandantes de Vivienda Protegida de Canarias.
En los procedimientos regulados en este Decreto cuyo plazo de resolución y notificación no esté expresamente previsto en el articulado, dicho plazo será de seis meses contados desde la fecha en que la solicitud haya tenido entrada en el registro del órgano competente para su tramitación.
1. El Instituto Canario de la Vivienda requerirá a las personas arrendatarias de viviendas protegidas de promoción pública de su titularidad, al menos una vez cada tres años y con una antelación mínima de seis meses antes del vencimiento de las sucesivas prórrogas del contrato de arrendamiento, que acrediten el cumplimiento de los requisitos exigidos en los artículos 21, 28 y 29 de este Decreto, salvo el de inscripción en el Registro Público de Demandantes de Vivienda Protegida de Canarias; así como que se destina la vivienda a domicilio habitual y permanente, bien mediante las autorizaciones o no oposiciones a la consulta de datos de todas las personas integrantes de la unidad familiar o de convivencia o, en su defecto, mediante requerimiento dirigido a la persona arrendataria.
Las personas arrendatarias requeridas a tal fin dispondrán, en su caso, de un plazo de treinta días desde la notificación para hacer entrega de la documentación solicitada.
2. En el caso de no presentar la documentación en plazo o de incumplimiento sobrevenido de los requisitos de acceso a la vivienda, previa audiencia a la persona interesada, la Dirección del Instituto Canario de la Vivienda procederá de acuerdo con lo establecido en el artículo 55.3 del presente Decreto.
Las personas cesionarias de viviendas y locales adjudicados en régimen de acceso diferido a la propiedad, transferidos a la Comunidad Autónoma de Canarias por el Instituto para la Promoción Pública de la Vivienda en virtud del Real Decreto 1626/1984, de 1 de agosto, respecto de los cuales no se hubiese otorgado escritura pública de compraventa, estarán obligadas al pago de los gastos de administración, conservación, servicios comunes, así como de los impuestos, arbitrios, tasas y derechos que graven la propiedad y el uso de las viviendas y locales.
Dicha obligación quedará enervada en aquellos casos en que las Juntas Administradoras constituidas por la totalidad de las personas cesionarias de los edificios donde se integren los inmuebles hayan asumido y efectuado el abono de tales gastos.
1. Las viviendas prefabricadas son aquellas cuya construcción se realiza en la parcela donde se emplazan mediante el ensamblaje de sus elementos previamente prefabricados.
2. Las viviendas prefabricadas adquiridas por la Comunidad Autónoma de Canarias para atender determinadas situaciones excepcionales y de urgente necesidad, e instaladas sobre suelo que, como consecuencia de las normas urbanísticas o territoriales del planeamiento vigente, no admite el uso residencial y, consiguientemente, no se puede realizar sobre el mismo ninguna actuación de reposición o rehabilitación, serán objeto de informe técnico en el que se diagnostique la situación en que se encuentren y se determine la necesidad, en su caso, de su demolición. Solo procederá la reposición si el ayuntamiento del municipio en que radiquen las viviendas cede al Instituto Canario de la Vivienda suelo apto para que este pueda habilitar la partida presupuestaria para la reposición de las mismas.
1. Las viviendas modulares son aquellas que se construyen a partir de módulos previamente fabricados en un establecimiento adecuado para, posteriormente, ser transportados a la parcela donde se emplaza la vivienda; requiriendo el montaje Final un trabajo mínimo. De tal forma que la vivienda es susceptible de ser trasladada a otro emplazamiento.
2. Las viviendas modulares adquiridas por la Comunidad Autónoma de Canarias para paliar situaciones de emergencia se regirán por el marco general que se apruebe para regular los procedimientos específicos de la situación de emergencia.
3. Una vez Finalizado el plazo de afectación de las viviendas modulares a la situación de emergencia, se llevará a cabo un informe por técnico facultativo competente que deberá especificar el estado en que se encuentren las viviendas y su viabilidad para su traslado a otra ubicación, o bien la necesidad de su demolición.
Las viviendas sociales entendidas como aquellas viviendas que adquiera el Instituto Canario de la Vivienda y que no hayan sido calificadas como viviendas protegidas podrán ser adjudicadas conforme a lo dispuesto para régimen especial.
La adjudicación de las viviendas protegidas de promoción pública que sean titularidad de los consorcios insulares de vivienda, de los cabildos insulares, de los ayuntamientos o de sus entidades públicas vinculadas o dependientes, se realizará por el ente o entidad titular, con arreglo a lo previsto en este Decreto en lo que les resulte de aplicación, salvo que, mediante convenio suscrito con el Instituto Canario de la Vivienda, se acuerde que la adjudicación sea realizada por este último.
En el caso de Segundas o posteriores adjudicaciones de viviendas de su titularidad, dichos entes o entidades aplicarán las mismas reglas y procedimientos establecidos en este Decreto para las viviendas gestionadas por el citado organismo autónomo.
1. El Registro de Viviendas Protegidas, creado en virtud del artículo 129 de la Ley 2/2003, de 30 de enero, de Vivienda de Canarias, tiene las siguientes Finalidades:
a) Servir como inventario de viviendas protegidas de la Comunidad Autónoma de Canarias.
b) Proporcionar información actualizada que permita adecuar las políticas de vivienda a la oferta real existente de vivienda protegida en Canarias, así como desarrollar las políticas orientadas a la ampliación de la misma.
c) Racionalizar los procesos de conexión entre la demanda, a través del Registro Público de Demandantes de Vivienda Protegida de Canarias, y la oferta de vivienda protegida, con el fin de atender la necesidad de residencia habitual y permanente de aquellas personas cuyos ingresos no les permiten acceder a una vivienda en el mercado libre.
d) Garantizar el conocimiento por parte de la ciudadanía de la oferta de vivienda protegida.
e) Servir como instrumento básico para el control y seguimiento del cumplimiento de la obligación de habitar las viviendas protegidas.
2. El citado registro es de titularidad pública, de naturaleza administrativa, de carácter gratuito y único para todo el territorio de la Comunidad Autónoma de Canarias.
3. El Registro de Viviendas Protegidas queda adscrito al Instituto Canario de la Vivienda, que asume su gestión, sin perjuicio de que pueda suscribir con los ayuntamientos de las islas o con los cabildos insulares convenios tipo para la colaboración en la gestión y llevanza de dicho registro.
4. El funcionamiento del Registro de Viviendas Protegidas y su relación con las personas usuarias se realizará a través de medios electrónicos.
5. Se inscribirán en el citado registro tanto las viviendas protegidas de promoción pública como de promoción privada, con indicación de la calificación definitiva, la Primera y sucesivas adjudicaciones de las viviendas y la transmisión de la titularidad. La inscripción se realizará de oficio en los supuestos de viviendas de titularidad del Instituto Canario de la Vivienda o en los que este Instituto haya emitido las correspondientes resoluciones o actos administrativos inscribibles.
Cuando dichas resoluciones o actos inscribibles sean emitidos por otra Administración Pública o entidad pública empresarial canaria la inscripción deberá realizarse en el plazo de un mes contado a partir de su emisión a través de medios electrónicos, según los modelos que estarán disponibles en la sede electrónica de la Administración Pública de la Comunidad Autónoma de Canarias.
1. Los contratos de arrendamiento de locales situados en grupos de viviendas protegidas de promoción pública en los que hubiera cesado la actividad económica o que hubieran permanecido cerrados al público durante más de seis meses en el periodo de doce meses anterior a la entrada en vigor del presente Decreto, no serán susceptibles de prórroga una vez alcanzado su vencimiento contractual.
2. No obstante, cuando, tras el fallecimiento de la persona arrendataria o el cese en la explotación directa por su parte, la actividad económica continúe siendo desarrollada en el local por su cónyuge o persona con la que hubiera convivido en análoga relación de afectividad, o, en su defecto, por personas integrantes de su unidad familiar, tales como descendientes, ascendientes, hermanos o parientes colaterales hasta el tercer grado que se hallen, en este último caso, en situación de discapacidad con un grado reconocido igual o superior al 65%, podrá solicitarse la subrogación en la titularidad del contrato de arrendamiento, siempre que no se hubiera dictado resolución expresa declarando su extinción.
3. La solicitud de subrogación deberá ir acompañada de la acreditación del vínculo familiar correspondiente, según el apartado 2 anterior, y del mantenimiento efectivo de la actividad económica en el local. Una vez dictada la resolución estimatoria, el contrato podrá ser objeto de prórrogas anuales sucesivas mientras se mantenga la actividad y se cumplan las obligaciones contractuales.
4. La formalización de la subrogación exigirá, en todo caso, que la persona solicitante se encuentre al corriente en el pago de la renta arrendaticia del local, de los gastos de comunidad, así como de los gastos asociados a los servicios esenciales vinculados al desarrollo de la actividad (tales como recogida de residuos sólidos urbanos, vaciado de fosas sépticas, abastecimiento de agua, saneamiento, depuración, suministro eléctrico, gas, telecomunicaciones, entre otros).
5. La solicitud de subrogación deberá presentarse en el plazo de doce meses desde la entrada en vigor del presente Decreto cuando el fallecimiento de la persona arrendataria o su cese en la explotación directa hubiera tenido lugar con anterioridad a dicha fecha. Si el hecho causante se produjera tras la entrada en vigor del Decreto, el plazo para solicitar la subrogación será de seis meses a contar desde dicho fallecimiento o cese.
6. El incumplimiento del plazo establecido en el apartado anterior, así como de los requisitos previstos en los apartados 2 a 4 de esta disposición Adicional, dará lugar a la extinción del contrato de arrendamiento, con los efectos legales que correspondan.
7. El plazo máximo para resolver y notificar la resolución será de tres meses a contar desde la fecha en que la documentación acreditativa a la que hace referencia el apartado 3 de esta disposición haya sido presentada. Transcurrido dicho plazo sin resolución expresa, la solicitud se entenderá estimada por silencio administrativo.
1. En los supuestos de contratos de arrendamientos de locales de negocio ubicados en edificios de titularidad del Instituto Canario de la Vivienda existentes a la entrada en vigor de la presente disposición, el citado organismo autónomo podrá ofrecer la transmisión de la propiedad de los locales a sus arrendatarios a precios de mercado.
Asimismo, dicho ofrecimiento de venta podrá ser dirigido a las personas señaladas en el apartado 2 de la disposición Adicional duodécima del presente Decreto sobre las que hubiese recaído resolución favorable a la subrogación solicitada.
2. La adjudicación directa prevista en el apartado anterior deberá ajustarse a lo dispuesto en el artículo 40.5 de la Ley 6/2006, de 17 de julio, del Patrimonio de la Comunidad Autónoma de Canarias, o norma que la sustituya, y fundamentarse en la concurrencia de alguno de los supuestos contemplados en dicho precepto.
3. Para poder acogerse al ofrecimiento de venta de los locales, los arrendatarios deberán cumplir simultáneamente con los siguientes requisitos:
a) Solicitar expresamente acogerse a la adquisición del local.
b) Acreditar el desarrollo en el local de una actividad económica, que cuente con las autorizaciones y permisos administrativos exigidos por la normativa vigente.
c) Estar al corriente en el pago del arrendamiento, así como en el abono de las cuotas correspondientes a los gastos comunes del edificio, aprobadas por la junta administradora o comunidad de propietarios.
d) Acreditar, por cualquier medio admitido en derecho, la capacidad económica suficiente para hacer frente al pago del precio de venta.
4. Para locales que no puedan enajenarse de conformidad con lo dispuesto en el apartado 1 de la presente disposición Adicional, mediante resolución de la persona titular de la Dirección del Instituto Canario de la Vivienda, publicada en el Boletín Oficial de Canarias, se ofertará la venta de los locales que procedan, de acuerdo a precios de mercado y mediante los instrumentos admisibles en derecho que sean oportunos. La referida resolución deberá contener, al menos:
a) Locales afectados.
b) Plazo de presentación de solicitudes, que no será inferior a doce meses desde el día siguiente a la publicación de dicha resolución.
c) Relación de documentos que han de presentar las personas solicitantes.
5. El plazo máximo para resolver y notificar la resolución del procedimiento de enajenación será de seis meses, contados desde la fecha de notificación del ofrecimiento de venta. Transcurrido dicho plazo sin que se haya notificado resolución expresa, la solicitud se entenderá desestimada por silencio administrativo.
6. Notificada la resolución estimatoria, la persona adjudicataria dispondrá de un plazo máximo de dos meses para proceder a la formalización de la correspondiente escritura pública de compraventa. Transcurrido dicho plazo sin que la escritura se hubiera formalizado por causa imputable a la persona interesada, se entenderá que esta renuncia a la adquisición del local, sin perjuicio de las responsabilidades que pudieran derivarse.
7. La formalización de la escritura pública de compraventa requerirá que la persona adquirente acredite, con carácter previo o simultáneo al acto, el abono íntegro del precio de venta. La falta de dicha acreditación impedirá la elevación a público del contrato de compraventa.
8. En caso de que no se formalice la escritura pública de compraventa por causa no imputable a la persona adquirente, se procederá a la devolución de las cantidades que esta hubiese abonado, sin que proceda el abono de intereses, indemnización o compensación económica alguna.
Por el contrario, si la falta de formalización fuese imputable a la persona adquirente, la Administración podrá retener, en concepto de indemnización por daños y perjuicios, hasta el 5% del importe total ofertado, sin perjuicio de otras responsabilidades que pudieran derivarse.
Los locales propiedad del Instituto Canario de la Vivienda, ubicados en edificios cuya titularidad no corresponda en su totalidad a dicho Instituto, podrán ser objeto de enajenación o cesión de uso, mediante los instrumentos jurídicos que resulten adecuados conforme a la legislación aplicable.
La enajenación de estos locales se regirá por lo dispuesto en la disposición Adicional decimotercera del presente Decreto, en cuanto resulte aplicable.
En caso de cesión de uso, únicamente podrán ser cesionarias las entidades a las que se refiere el artículo 67.3 del presente Decreto.
Cuando la enajenación o la cesión de uso pueda afectar a elementos comunes del edificio, o esté sujeta a autorización conforme al título constitutivo de la propiedad horizontal o a los estatutos de la comunidad de propietarios, su formalización requerirá la obtención previa de la conformidad de la comunidad en los términos legalmente exigibles.
Las solicitudes de inscripción presentadas al amparo de la Orden de 24 de septiembre de 2009, por la que se regula el régimen de inscripción, funcionamiento y estructura del Registro Público de Demandantes de Vivienda Protegida de Canarias, se seguirán tramitando conforme a lo dispuesto en dicha Orden.
Las inscripciones realizadas de conformidad con la citada Orden de 24 de septiembre de 2009, continuarán vigentes por el periodo de duración establecido en la misma. Los efectos de estas inscripciones así como de las renovaciones serán los recogidos en los artículos 10 y 16, respectivamente, del presente Decreto.
Los procedimientos iniciados antes de la entrada en vigor del presente Decreto, continuarán rigiéndose por el Decreto 138/2007, de 24 de mayo, por el que se establece el régimen de adjudicación de las viviendas protegidas de promoción pública de titularidad del Instituto Canario de la Vivienda.
Las viviendas protegidas de promoción pública cuya calificación definitiva hubiera sido otorgada con anterioridad a la entrada en vigor del presente Decreto, y en la que no conste expresamente el régimen de arrendamiento aplicable, se considerarán a efectos de su adjudicación como viviendas en régimen especial.
Las viviendas protegidas de promoción pública, adjudicadas en régimen de venta con anterioridad a la entrada en vigor del presente Decreto, que sean objeto de transmisión podrán ser enajenadas inter vivos, siempre que reúnan los siguientes requisitos:
a) El Instituto Canario de la Vivienda haya otorgado la correspondiente autorización.
b) Las viviendas se encuentren totalmente amortizadas.
c) Los ingresos ponderados de la persona cesionaria no superen, en el momento de la transmisión, los requeridos a las personas adquirentes de viviendas de nueva construcción en régimen especial.
d) Ninguno de los miembros de la unidad familiar o de convivencia sea propietario u ostente un derecho real sobre otra vivienda.
e) La persona adquirente deberá estar inscrita en el Registro Público de Demandantes de Vivienda Protegida de Canarias.
1. Las ayudas o bonificaciones al alquiler concedidas conforme al Decreto 32/2020, de 2 de abril, que sigan vigentes en la fecha de entrada en vigor del presente Decreto, continuarán en los mismos términos y condiciones establecidos en su concesión hasta la Finalización del plazo para el que fueron otorgadas.
2. Las personas adjudicatarias con contrato de arrendamiento vigente en viviendas aportadas por promotores distintos del Instituto Canario de la Vivienda, que hayan sido adjudicadas mediante el procedimiento reglado de promoción pública, podrán seguir beneficiándose de las bonificaciones o ayudas concedidas conforme al citado Decreto 32/2020, de 2 de abril, hasta que se suscriba el instrumento jurídico previsto en el artículo 80 del presente Decreto.
3. Cuando las viviendas a las que se refiere el apartado anterior hubieran dejado de estar sujetas a un régimen de protección pública, las ayudas o bonificaciones podrán mantenerse por un periodo máximo de dos años desde la entrada en vigor del presente Decreto, siempre que el contrato de arrendamiento siga vigente y se cumplan los requisitos que dieron lugar a la concesión de la ayuda.
4. Durante el periodo transitorio regulado en esta disposición, se mantendrán los términos y condiciones aplicables a cada contrato en vigor, sin que pueda modificarse la renta máxima inicial mensual establecida en el momento de la concesión de la ayuda.
5. Transcurrido el plazo de dos años desde la entrada en vigor del presente Decreto sin que se haya suscrito el instrumento jurídico previsto en su artículo 80, las ayudas o bonificaciones dejarán de aplicarse, salvo que mediante resolución motivada del Instituto Canario de la Vivienda, dictada por razones de interés social debidamente justificadas, se acuerde su mantenimiento en los términos previstos en esta disposición por un periodo Adicional que, en ningún caso, podrá exceder de un año.
Transcurrido el plazo de dos años desde la entrada en vigor del presente Decreto sin que se haya formalizado el convenio o encargo previsto en la disposición Adicional Segunda, las viviendas afectadas mantendrán el régimen de adjudicación y arrendamiento previsto en esta norma, aplicándose Transitoriamente las siguientes reglas hasta la formalización del referido instrumento:
a) La renta arrendaticia no podrá superar el precio máximo establecido para las viviendas protegidas de promoción pública de régimen especial.
b) La sociedad mercantil pública podrá solicitar, en su caso, la compensación correspondiente por déficit de explotación conforme a lo establecido en el artículo 80 del presente Decreto, siempre que acredite dicho déficit de forma motivada y justificada, y cumpla los requisitos allí establecidos. En todo caso, la compensación quedará supeditada a la existencia de crédito adecuado y suficiente.
c) El Instituto Canario de la Vivienda podrá instar de oficio la revisión del régimen aplicable a las viviendas y proponer, en su caso, la adopción de las medidas necesarias para garantizar la sostenibilidad financiera y la adecuada gestión del parque público residencial.
d) Excepcionalmente, y por causas justificadas debidamente acreditadas, el plazo de dos años previsto en la disposición Adicional Segunda podrá ser prorrogado por resolución motivada del Instituto Canario de la Vivienda, por un periodo Adicional no superior a un año.
1. Los contratos de arrendamiento de viviendas protegidas de promoción pública formalizados con anterioridad a la entrada en vigor de la modificación introducida por la disposición Final Primera en el artículo 3 del Decreto 1/2004, de 13 de enero, continuarán rigiéndose, en cuanto a la determinación de su renta, por el régimen establecido en el momento de su formalización.
2. No obstante, las revisiones de renta que se produzcan con posterioridad a la entrada en vigor del presente Decreto, derivadas de revisión periódica de condiciones económicas o de renovación de contratos, se realizarán conforme al nuevo régimen previsto en el artículo 3 modificado.
En tanto subsistan valoraciones oficiales del grado de discapacidad efectuadas conforme al Real Decreto 1971/1999, de 23 de diciembre, por el que se regula el procedimiento para el reconocimiento, declaración y calificación del grado de minusvalía, y hasta tanto se proceda a su revisión conforme al Real Decreto 888/2022, de 18 de octubre, por el que se establece el procedimiento para el reconocimiento, declaración y calificación del grado de discapacidad, o norma que lo sustituya, se entenderán equivalentes, a efectos de la adjudicación de viviendas protegidas de promoción pública mediante el sistema de cupos especiales regulado en los artículos 24 y 25 del presente Decreto, las siguientes situaciones:
1. La situación contemplada en el apartado 3.a) del artículo 24 se considerará concurrente cuando, conforme al anterior baremo, la persona hubiera sido valorada como persona con limitación, movilidad o comunicación reducida.
2. La situación prevista en el apartado 2.a.1) del artículo 25 se entenderá cumplida cuando la persona hubiera sido reconocida, conforme al Real Decreto 1971/1999, en situación de movilidad reducida con necesidad de utilización de silla de ruedas.
3. En relación con el supuesto del apartado 2.a.2) del artículo 25 se considerará incluida la persona que, conforme al citado baremo anterior, presente limitaciones de movilidad o comunicación relevantes que no requieran el uso de silla de ruedas, siempre que dicha circunstancia conste expresamente en el dictamen técnico de valoración del grado de discapacidad vigente a la entrada en vigor del Real Decreto 888/2022.
4. Las equivalencias establecidas en esta disposición serán aplicables únicamente mientras no se haya actualizado el reconocimiento del grado de discapacidad de la persona interesada conforme al procedimiento establecido en el Real Decreto 888/2022, de 18 de octubre.
Quedan derogadas todas aquellas disposiciones de igual o inferior rango que se opongan o contradigan lo dispuesto en el presente Decreto, en particular:
• El Decreto 32/2020, de 2 de abril, por el que se regula la ayuda a los alquileres de las viviendas protegidas adjudicadas por la Administración Pública de la Comunidad Autónoma de Canarias en régimen de alquiler, a excepción de lo dispuesto en la disposición Transitoria Quinta, que regula los casos en que continuará aplicándose Transitoriamente.
•La Orden de 24 de septiembre de 2009, por la que se regula el régimen de inscripción, funcionamiento y estructura del Registro Público de Demandantes de Vivienda Protegida de Canarias, salvo en lo dispuesto en la disposición Transitoria Primera de este Decreto.
El Decreto 1/2004, de 13 de enero, por el que se establece el precio máximo de venta y la renta máxima inicial anual de las viviendas protegidas de promoción pública, se modifica como sigue:
Uno. El apartado 1 del artículo 2 queda redactado en los siguientes términos:
“1. El precio máximo de venta o de referencia (Pref) por metro cuadrado de superficie útil para las viviendas protegidas de promoción pública se calculará conforme a lo dispuesto en el artículo 6, apartado 1, del Decreto ley 24/2020, de 23 de diciembre, de medidas extraordinarias y urgentes en los ámbitos de vivienda, transportes y puertos de titularidad de la Comunidad Autónoma de Canarias, en la redacción dada por el Decreto ley 1/2024, de 19 de febrero, de medidas urgentes en materia de vivienda, o norma que lo sustituya. Este cálculo excluye la repercusión del coste del suelo y el margen para el promotor. En consecuencia, el precio máximo de referencia para la promoción pública se determinará mediante la siguiente fórmula:
Pref = MBC · 1,28 · C1 · C2
Donde:
MBC: Módulo Básico Canario, que representa el coste de ejecución material por metro cuadrado de superficie útil de una vivienda tipo en edificio aislado ubicado en las islas de Gran Canaria o Tenerife, sin incluir la repercusión del suelo.
1,28: factor que incrementa el coste de ejecución material en un 28% para obtener el presupuesto de contrata, compuesto por gastos generales (16%), beneficio industrial (6%) y honorarios de técnicos facultativos (6%).
C1: coeficiente por tipología edificatoria.
C2: coeficiente según la isla donde se ubica la promoción de viviendas.
Los valores de MBC, C1 y C2 serán los establecidos en el Decreto ley 24/2020, de 23 de diciembre. Asimismo, son también de aplicación los apartados 3 y 5 del artículo 6 de dicho Decreto ley.
Aplicando los coeficientes mencionados y el valor del Módulo Básico Canario, los precios máximos de referencia por islas y tipología edificatoria, en euros por metro cuadrado de superficie útil, son los siguientes:
”

Dos. El artículo 3 queda redactado como sigue:
1. La renta máxima inicial anual se determinará aplicando los siguientes porcentajes sobre el precio máximo de referencia correspondiente a isla capitalina en el momento de la formalización del contrato:
a) Para régimen especial: 3,0%.
b) Para régimen general: 4,5%.
Las cuantías resultantes no podrán exceder de los valores establecidos por la normativa estatal para conceptos equivalentes en actuaciones con financiación estatal.
2. En el régimen especial, la renta máxima mensual inicial a abonar, denominada renta inicial adaptada (RA), será el menor de los valores resultantes de las siguientes letras a) y b):
a) Renta máxima mensual inicial (R), calculada dividiendo entre doce la renta máxima inicial anual del apartado anterior, conforme a la fórmula:
R = (Pref) · 0,03 · Su / 12
Donde:
Pref es el precio máximo de referencia por metro cuadrado de superficie útil;
Su es la superficie útil de la vivienda, en metros cuadrados.
El valor de R se hará constar en la calificación definitiva de la vivienda.
b) Renta preliminar (RP), entendida como el importe resultante de aplicar a los ingresos netos mensuales ponderados (Ip) la cuota determinada conforme al apartado 3, sin que esta pueda, en ningún caso, superar el 20%.
Los ingresos netos mensuales (I) se calcularán como el promedio mensual de los ingresos netos anuales, conforme al apartado 1.1 del Anexo 1 del Decreto que regula la inscripción y funcionamiento del Registro Público de Demandantes de Vivienda Protegida de Canarias, así como el régimen de adjudicación de viviendas protegidas de promoción pública y sus anejos no vinculados, o norma que lo sustituya.
Los ingresos netos mensuales ponderados (Ip) se obtendrán conforme a las siguientes condiciones, sin que puedan exceder de 2,5 veces el IPREM en el régimen especial:

• IPREM es el Indicador Público de Renta de Efectos Múltiples anual en 14 pagas, cuya cuantía se publica en la Ley de Presupuestos Generales del Estado, correspondiente al ejercicio al que se refieren los ingresos.
• fp(N) es el factor de ponderación según el número de miembros N de la unidad familiar o de convivencia, conforme a la disposición Adicional Tercera del Decreto 1/2023, de 19 de enero, o norma que lo sustituya.
c) La renta inicial adaptada (RA) se determinará aplicando la siguiente regla:
• Si (Cuota · Ip) ≤ R, entonces RA = Cuota · Ip
• Si (Cuota · Ip) > R, entonces RA = R
3. La cuota aplicable se determinará a partir del esfuerzo preliminar (Y), definido como:

Donde
• Ip: ingresos netos mensuales ponderados, de acuerdo con lo establecido en el apartado 2.b) de este artículo.
• N: número de miembros de la unidad familiar o de convivencia.
• La expresión [1+(N-1)·0,5] ajusta el esfuerzo preliminar al número de miembros N a través de unidades de consumo equivalente.
Este esfuerzo preliminar responde a las siguientes condiciones de contorno para unidades de una sola persona (N = 1):
- Si los ingresos mensuales ponderados son de 1,5 veces el IPREM, la cuota será de 0,12 (12%).
- Si los ingresos mensuales ponderados ascienden a 2,5 veces el IPREM, la cuota será de 0,20 (20%).
La cuota resultante se determina de acuerdo con la siguiente tabla de relaciones de ingresos y cuota:

4. La persona titular de la Consejería competente en materia de vivienda podrá modificar, mediante orden, la tabla de relaciones de ingresos y cuota establecida en el apartado anterior.
5. En el régimen general, la renta máxima inicial mensual (R), en euros por metro cuadrado de superficie útil, se determinará aplicando la siguiente fórmula:
R = Pref · 0,045 · Su/12
6. Las rentas podrán revisarse anualmente en función de las variaciones porcentuales del Índice de Precios de Consumo (IPC), conforme al Índice Nacional General del Sistema de Índices de Precios de Consumo”.
El artículo 7.1.a) del Decreto 11/2022, de 20 de enero, por el que se crea y regula el Registro de Agentes Inmobiliarios de Canarias queda redactado en los siguientes términos:
“a) Ser agente de la propiedad inmobiliaria y/o administrador/a de fincas, ambos colegiados en ejercicio. Se acreditará mediante certificado del colegio profesional al que pertenezca”.
El Decreto 1/2023, de 19 de enero, por el que se establecen las medidas de acceso a la propiedad de viviendas protegidas y se regula el procedimiento para su calificación, se modifica como sigue:
Uno. El primer párrafo del apartado 3 del artículo 6 queda redactado como sigue y se mantiene la redacción de las letras a), b), c) y d) de dicho apartado:
“3. La autorización conjunta para transmitir la vivienda y acceder a una vivienda protegida, así como el visado del correspondiente contrato, se otorgará a las partes interesadas cuando se realice de conformidad con los siguientes requisitos:”.
Dos. La letra b) del apartado 3 del artículo 6 queda redactada como sigue:
“b) Ingresos familiares. Los ingresos ponderados de la unidad de convivencia que adquiera la vivienda no podrán superar el número de veces el IPREM establecido para el régimen general vigente, en relación al último ejercicio fiscal disponible. Asimismo, deberán ser iguales o superiores a 1,00 veces el IPREM”.
Tres. Se incorpora una letra e) al apartado 3 del artículo 6, que queda redactada como sigue:
“e) A los efectos de obtener el visado provisional del correspondiente contrato, junto con la solicitud de autorización de actos de disposición de viviendas protegidas y visado de contratos, la persona solicitante deberá presentar debidamente cumplimentado, pero no suscrito, el borrador del contrato cuyo visado se solicita.
La presentación de la solicitud implicará la autorización a la Administración para recabar los datos necesarios de otras Administraciones Públicas, salvo oposición expresa de la persona interesada. No obstante, cuando la normativa aplicable exija consentimiento expreso, se deberá aportar dicho consentimiento de forma individualizada, conforme a lo previsto en los modelos normalizados disponibles.
En caso de oposición o falta de autorización para la consulta de datos, las personas interesadas deberán aportar la documentación acreditativa exigida, conforme al listado publicado en la correspondiente ficha del SICAC”.
Cuatro. El apartado 6 del artículo 6 queda redactado como sigue:
“6. El plazo máximo para conceder y notificar la autorización administrativa prevista en este artículo será de dos meses contados a partir de la fecha de solicitud. Este plazo se suspenderá de conformidad con lo dispuesto en el artículo 22 de la Ley 39/2015, de 1 de octubre, del Procedimiento Administrativo Común de las Administraciones Públicas, o normativa que la sustituya.
La resolución de autorización comprenderá el visado provisional del borrador de contrato presentado.
La falta de notificación de la autorización expresa en el plazo indicado legitima a la persona interesada a entenderla concedida por silencio administrativo”.
Cinco. Se incorpora un apartado 8 en el artículo 6, que queda redactado como sigue:
“8. El visado provisional previsto en el apartado 6 tendrá una vigencia de seis meses desde el día siguiente a su notificación. Transcurrido dicho plazo sin que se haya formalizado el contrato, el visado caducará automáticamente, debiendo el interesado formular una nueva solicitud a tal efecto.
Una vez suscrito el contrato, deberá presentarse para su visado definitivo en el plazo de quince días hábiles desde su firma, por los mismos medios que la solicitud. El Instituto Canario de la Vivienda procederá a su visado definitivo mediante diligencia, en un plazo máximo de quince días desde la presentación”.
Seis. El primer párrafo del apartado 3 del artículo 7 queda redactado como sigue y se mantiene la redacción de las letras a), b), c) y d) de dicho apartado:
“3. La autorización conjunta para transmitir la vivienda y acceder a una vivienda protegida, así como el visado del correspondiente contrato, será otorgada a las partes interesadas cuando se realice conforme a los siguientes requisitos:”.
Siete. La letra b) del apartado 3 del artículo 7 queda redactada como sigue:
“b) Ingresos familiares. Los ingresos ponderados de la unidad de convivencia que adquiera la vivienda no podrán superar el número de veces el IPREM establecido para el régimen general vigente, en relación al último ejercicio fiscal disponible. Asimismo, deberán ser iguales o superiores a 1,00 veces el IPREM”.
Ocho. Se incorpora una letra e) al apartado 3 del artículo 7, que queda redactada como sigue:
“e) A los efectos de obtener el visado provisional del correspondiente contrato, junto con la solicitud de autorización de actos de disposición de viviendas protegidas y visado de contratos, la persona solicitante deberá presentar debidamente cumplimentado, pero no suscrito, el borrador del contrato cuyo visado se solicita.
La presentación de la solicitud implicará la autorización a la Administración para recabar los datos necesarios de otras Administraciones Públicas, salvo oposición expresa de la persona interesada. No obstante, cuando la normativa aplicable exija consentimiento expreso, se deberá aportar dicho consentimiento de forma individualizada, conforme a lo previsto en los modelos normalizados disponibles.
En caso de oposición o falta de autorización para la consulta de datos, las personas interesadas deberán aportar la documentación acreditativa exigida, conforme al listado publicado en la correspondiente ficha del SICAC”.
Nueve. El apartado 4 del artículo 7 queda redactado como sigue:
“4. Las citadas autorizaciones se otorgarán con el mismo procedimiento y efectos que los previstos en el artículo 6, apartados 6, 7 y 8, del presente Decreto”.
Diez. La letra f) del artículo 16 queda redactada como sigue:
“f) Modos de acceso previstos en los artículos 48 y 53 de la Ley 2/2003, de 30 de enero, de Vivienda de Canarias, o norma que la sustituya”.
Once. Se agregan al artículo 18 los apartados 5 y 6, con la siguiente redacción:
“5. No podrá procederse a la elevación en escritura pública ni a la entrega y ocupación de las viviendas, en tanto no se haya obtenido la correspondiente calificación definitiva.
6. Será causa denegatoria de la calificación definitiva la imposibilidad de comprobar la adecuación del proyecto de ejecución Final a la obra terminada por causa imputable a la persona promotora”.
Doce. Se añade un nuevo artículo 20 con el siguiente contenido:
1. En los contratos de compraventa, arrendamiento o cesión de uso de viviendas protegidas de promoción privada deberán constar expresamente las siguientes cláusulas:
a) Que la vivienda objeto del contrato está sujeta a las prohibiciones, limitaciones y condiciones de acceso establecidas en la Ley 2/2003, de 30 de enero, de Vivienda de Canarias, o norma que la sustituya, así como en sus disposiciones de desarrollo. En consecuencia, las condiciones de uso serán las fijadas en la calificación definitiva y los precios de venta o renta no podrán superar los límites máximos legalmente establecidos.
b) Que la persona vendedora o arrendadora se compromete a entregar las llaves de la vivienda en el plazo máximo de tres meses desde la concesión de la calificación definitiva o desde la fecha del contrato, si esta fuera posterior, salvo prórroga otorgada por el Instituto Canario de la Vivienda.
c) Que la persona adquirente o arrendataria se obliga a ocupar la vivienda en el plazo máximo de tres meses desde la entrega de llaves, salvo causa debidamente justificada y apreciada por la Administración.
d) Que la persona vendedora o arrendadora entregará a la parte adquirente o arrendataria un ejemplar del contrato, debidamente visado por el Instituto Canario de la Vivienda.
2. En los contratos de compraventa deberán incluirse, además de las anteriores, las siguientes cláusulas:
a) Que la parte vendedora se compromete a elevar a escritura pública el contrato privado de compraventa en el plazo máximo de tres meses desde la calificación definitiva de la vivienda o desde la fecha del contrato, si esta fuera posterior, salvo prórroga concedida por el Instituto Canario de la Vivienda.
b) Que los gastos derivados de la declaración de obra nueva, división horizontal, y de la constitución y división del crédito hipotecario serán asumidos íntegramente por la entidad promotora.
c) Que la persona adquirente podrá instar la resolución del contrato en caso de denegación de la calificación definitiva de la vivienda.
3. En los contratos de arrendamiento deberán consignarse, además de las cláusulas previstas en el apartado 1, las siguientes:
a) Que la vivienda se entrega libre de mobiliario y enseres.
b) Que el subarriendo, total o parcial, de la vivienda dará lugar a la resolución del contrato”.
Trece. Se añade un nuevo artículo 21 con el siguiente contenido:
1. El visado de contrato es el acto administrativo que tiene por objeto comprobar el cumplimiento de los requisitos de acceso a la vivienda protegida de promoción privada, verificar que el precio de venta o renta no supera los límites vigentes, y constatar la inclusión de las cláusulas obligatorias establecidas en el artículo anterior.
El Instituto Canario de la Vivienda denegará el visado de los contratos que no incorporen todas las cláusulas obligatorias.
2. Para el visado de los contratos relativos a los actos de disposición de viviendas protegidas, será de aplicación el procedimiento y efectos previstos en el artículo 6 del presente Decreto.
3. Contra la resolución que deniegue el visado provisional o definitivo podrá interponerse recurso de alzada ante la presidencia del Instituto Canario de la Vivienda, en el plazo de un mes contado desde el día siguiente al de su notificación”.
Catorce. Se adiciona un segundo párrafo al apartado 3 de la disposición Adicional Primera con la siguiente redacción:
“Los procedimientos de descalificación voluntaria de vivienda quedarán suspendidos si, durante su tramitación, se incoase procedimiento sancionador por alteración del régimen de uso y destino previsto en la calificación definitiva y hasta que se resuelva el procedimiento sancionador, se produzca la caducidad o la prescripción de la infracción”.
Quince. Se agregan las disposiciones Adicionales Sexta, Séptima y Octava con el siguiente contenido:
El Instituto Canario de la Vivienda podrá establecer, en colaboración con los colegios profesionales competentes de la Comunidad Autónoma de Canarias, las medidas de cooperación necesarias para la implantación de un visado de garantía aplicable a los proyectos de viviendas protegidas. Los proyectos que cuenten con dicho visado quedarán exentos de revisión por el personal técnico del Instituto en las materias de accesibilidad, habitabilidad y en aquellas otras que se determinen en los correspondientes acuerdos de cooperación.
Disposición Adicional Séptima.
Modelos normalizados.
Las solicitudes de los procedimientos relativos a la autorización de actos de disposición de viviendas protegidas y visado de contratos, regulados en el presente Decreto, se presentarán mediante los modelos normalizados disponibles en la sede electrónica de la Administración Pública de la Comunidad Autónoma de Canarias y en la ficha correspondiente del Sistema de Información de Actuaciones Administrativas de la Administración Pública de la Comunidad Autónoma de Canarias (SICAC).
Asimismo, los contratos a visar deberán ajustarse al modelo normalizado disponible en la citada sede electrónica y en la ficha SICAC.
Disposición Adicional Octava.
Habilitación.
Se faculta a la Dirección del Instituto Canario de la Vivienda para dictar las resoluciones que definan el contenido de la solicitud y la documentación que ha de presentarse en los distintos procedimientos administrativos previstos en este Decreto”.
Se faculta a la persona titular de la Consejería de la Administración Pública de la Comunidad Autónoma de Canarias competente en materia de vivienda para dictar las disposiciones necesarias para:
a) Actualizar el Anexo 3 de la presente norma.
b) Establecer los aspectos técnicos de organización y funcionamiento del Registro de Viviendas Protegidas, creado por la Ley 2/2003, de 30 de enero, de Vivienda de Canarias.
El presente Decreto entrará en vigor a los veinte días de su publicación en el Boletín Oficial de Canarias, salvo los Capítulos II y III del Título V y la disposición Final Primera, que lo harán a los tres meses de dicha publicación.
Dado en Canarias, a 9 de marzo de 2026.
EL PRESIDENTE DEL GOBIERNO
Fernando Clavijo Batlle.
EL CONSEJERO DE OBRAS PÚBLICAS, VIVIENDA Y MOVILIDAD
Pablo Rodríguez Valido
LA CONSEJERA DE PRESIDENCIA, ADMINISTRACIONES PÚBLICAS, JUSTICIA Y SEGURIDAD
p.s. EL CONSEJERO DE OBRAS PÚBLICAS VIVIENDA Y MOVILIDAD
(Decreto 26/2026, de 9 de marzo, del Presidente)
Pablo Rodríguez Valido.